Para que serve Água para Injetáveis (substância ativa) é indicado para o tratamento de candidíase invasiva grave e também como terapia de segunda linha para o tratamento de infecções fúngicas sistêmicas graves em pacientes que não responderam à anfotericina B convencional ou outros agentes antifúngicos sistêmicos, naqueles que apresentam comprometimento renal ou outras contraindicações à anfotericina B convencional ou em pacientes que desenvolveram nefrotoxicidade associada à anfotericina B.Continue lendo...

Parece que não há ofertas disponíveis para o produto no momento.
ATENÇÃO: O texto abaixo deve ser utilizado apenas como uma referência secundária. É um registro histórico da bula, rótulo ou manual do produto. Este texto não pode substituir a leitura das informações que acompanha o produto, cujo fabricante podem mudar a formulação, recomendação, modo de uso e alertas legais sem que sejamos previamente comunicados. Apenas as informações contidas na própria bula, rótulo ou manual que acompanha o produto é que devem estar atualizadas de acordo com a versão comercializada porém, no caso de qualquer dúvida, consulte o serviço de atendimento ao consumidor do produto ou nossa equipe.
Água para Injetáveis (substância ativa) é indicado para o tratamento de candidíase invasiva grave e também como terapia de segunda linha para o tratamento de infecções fúngicas sistêmicas graves em pacientes que não responderam à anfotericina B convencional ou outros agentes antifúngicos sistêmicos, naqueles que apresentam comprometimento renal ou outras contraindicações à anfotericina B convencional ou em pacientes que desenvolveram nefrotoxicidade associada à anfotericina B.
O tratamento com Água para Injetáveis (substância ativa) é indicado como tratamento de segunda linha para aspergilose invasiva, meningite criptocócica e criptococose disseminada em pacientes com HIV, leishmaniose cutânea e visceral em pacientes com HIV, fusariose, coccidiomicose, paracoccidioidomicose, histoplasmose, zigomicose e blastomicose.
Água para Injetáveis (substância ativa) é contraindicado para pacientes com hipersensibilidade conhecida à anfotericina B ou a qualquer componente da formulação, a não ser que na opinião do médico, o benefício do tratamento supere o risco de hipersensibilidade.
Água para Injetáveis (substância ativa) é um medicamento classificado na categoria de risco C na gravidez. Este medicamento não deve ser utilizado por mulheres grávidas sem orientação médica.
Ao iniciar o tratamento pela primeira vez, uma dose teste de Água para Injetáveis (substância ativa) (complexo lipídico de anfotericina B) deve ser administrada imediatamente antes da primeira infusão.
O medicamento Água para Injetáveis (substância ativa) é estéril, portanto, as técnicas de assepsia e antissepsia devem ser rigorosamente observadas durante todo o manuseio do produto, uma vez que a formulação de Água para Injetáveis (substância ativa) não contém nenhum agente bacteriostático.
Não usar a mistura após a diluição com solução glicosada a 5% se houver qualquer evidência de substância estranha. Os frascos devem ser usados uma única vez. O material não aproveitado deve ser descartado. Deve-se observar rigorosamente a técnica asséptica durante todo o período de manipulação do Água para Injetáveis (substância ativa).
Cuidado: Não diluir com soluções salinas. Não misturar com outros medicamentos ou eletrólitos, uma vez que a compatibilidade de Água para Injetáveis (substância ativa) com esses produtos não foi estabelecida. O acesso intravenoso existente deve ser lavado com solução glicosada a 5% antes da infusão de Água para Injetáveis (substância ativa), ou um acesso separado deve ser usado para a infusão.Não usar um filtro de linha.
A suspensão diluída, pronta para o uso, é estável por até 48 horas de 2ºC à 8ºC e por um período adicional de 6 horas à temperatura ambiente.
Não há estudos de Água para Injetáveis (substância ativa) administrado por vias não recomendadas. Portanto, por segurança e eficácia deste medicamento, a administração deve ser somente por via endovenosa.
A dose diária recomendada para adultos e crianças (incluindo neonatos prematuros) é de 1,0 a 5,0 mg/kg/dia, em uma única infusão a uma taxa de 2,5 mg/kg/h. Para infecções fúngicas do sistema nervoso central (SNC), o tempo de tratamento é de 2 a 6 semanas dependendo da resposta clínica.
No caso de infecções sistêmicas graves a duração do tratamento deve ser de no mínimo 14 dias.
Foram relatados casos de anafilaxia com desoxicolato de anfotericina B e outros produtos que contém anfotericina B. Casos de anafilaxia foram relatados após uso de Água para Injetáveis (substância ativa) (complexo lipídico de anfotericina B) com incidência inferior a 0,1%. Caso ocorra dificuldade respiratória grave, a infusão deve ser suspensa imediatamente; o paciente não deve receber outras infusões de Água para Injetáveis (substância ativa).
Assim como com qualquer produto que contenha anfotericina B, a administração inicial de Água para Injetáveis (substância ativa) deve ser realizada sob observação clínica estreita por profissionais com treinamento adequado.
Reações relacionadas à infusão, incluindo pirexia e calafrios, relatadas após a administração de Água para Injetáveis (substância ativa) são geralmente leves ou moderadas, e são normalmente relatadas durante os dois primeiros dias de administração.
Tais reações geralmente diminuem após alguns dias de tratamento e devem ser consideradas medidas cautelares de prevenção ou tratamento dessas reações para pacientes em tratamento com Água para Injetáveis (substância ativa). Tratamento com dose diária de ácido acetilsalicílico, antipiréticos, anti-histamínicos e antieméticos foi relatado como bem sucedido na prevenção ou tratamento destas reações. A infusão foi raramente associada a casos de hipotensão, broncoespasmo, arritmias e choque.
Água para Injetáveis (substância ativa) não deve ser utilizado para tratamento de infecções fúngicas comuns, superficiais ou infecções fúngicas somente detectáveis a partir de testes cutâneos ou sorológicos.
Os níveis de creatinina sérica devem ser monitorados a intervalos frequentes durante a terapia com Água para Injetáveis (substância ativa).
É também recomendável o monitoramento regular da função hepática, eletrólitos séricos (particularmente magnésio e potássio) e hemograma completo.
Pacientes que iniciaram o tratamento com Água para Injetáveis (substância ativa) com altos níveis de creatinina sérica (> 2,5 mg/dL) apresentaram decréscimo estatisticamente significativo (p ? 0,0003) no nível sérico de creatinina a partir da condição basal nas semanas 1 à 6 do tratamento com Água para Injetáveis (substância ativa).
Não foram realizados estudos de longo prazo, em animais, para avaliar o potencial carcinogênico de Água para Injetáveis (substância ativa).
Para avaliar o potencial mutagênico de Água para Injetáveis (substância ativa) foram conduzidos os seguintes estudos in vitro (com e sem ativação metabólica) e in vivo: ensaio de mutação reversa bacteriana, ensaio de mutação de progressão do linfoma em camundongo, ensaio de aberração cromossômica em células CHO e ensaio in vivo de micronúcleos em camundongo. Água para Injetáveis (substância ativa) não apresentou efeitos mutagênicos em quaisquer dos ensaios. Os estudos demonstraram que Água para Injetáveis (substância ativa) não teve qualquer impacto sobre a fertilidade dos ratos machos e fêmeas, em doses até 0,32 vezes a dose humana recomendada (com base no parâmetro área de superfície corporal).
Estudos sobre a reprodução em ratos e coelhos, com doses até 0,64 vezes a dose humana, não revelaram danos aos fetos. Uma vez que os estudos sobre a reprodução, em animais, não são sempre preditivos da resposta humana e como não foram realizados estudos adequados e bem controlados em mulheres grávidas, Água para Injetáveis (substância ativa) somente deve ser utilizado durante a gravidez se os benefícios do tratamento superem os riscos à mãe e ao feto.
Não se sabe se Água para Injetáveis (substância ativa) é excretado no leite materno. Como muitos fármacos são excretados no leite humano e tendo em vista o potencial de reações adversas graves relacionadas ao uso de Água para Injetáveis (substância ativa) em lactentes alimentados ao seio, deve-se decidir entre a suspensão da amamentação ou o uso do fármaco, levando em conta a necessidade do tratamento.
Este medicamento não deve ser utilizado por mulheres grávidas sem orientação médica.
Água para Injetáveis (substância ativa) é um medicamento classificado na categoria de risco C na gravidez.
Quarenta e nove pacientes idosos, com idade acima de 65 anos, foram tratados com Água para Injetáveis (substância ativa) na dose de 5 mg/kg/dia, em dois estudos abertos e em um estudo de grupo único, prospectivo e menor. Nenhum evento adverso grave inesperado foi relatado.
Cento e onze crianças (2 foram recrutadas duas vezes e contadas como pacientes separados), com idades de 16 anos ou menos, onze das quais tinham menos de 1 ano, foram tratadas com Água para Injetáveis (substância ativa), na dose de 5 mg/kg/dia, em dois estudos abertos e em um pequeno estudo prospectivo de braço único.
Em um estudo monocêntrico, 5 crianças com candidíase hepatoesplênica foram tratadas eficazmente com 2,5 mg/kg/dia de Água para Injetáveis (substância ativa). Não foram reportados eventos adversos graves inesperados. Água para Injetáveis (substância ativa) foi estudado em neonatos e foi constatado que o medicamento é seguro e eficaz no tratamento nesta faixa etária com candidíase invasiva na dosagem de 2,5 mg/kg/dia a 5 mg/kg/dia. Os resultados deste estudo indicaram que não há diferença na disposição de Água para Injetáveis (substância ativa) em neonatos e grupos de outras idades.
Os efeitos do Água para Injetáveis (substância ativa) sobre a capacidade de dirigir e operar máquinas não foi estudado.
Algumas das reações adversas de Água para Injetáveis (substância ativa) podem alterar a capacidade do paciente de dirigir e operar máquinas. No entanto, a condição clínica da maioria dos pacientes tratados com Água para Injetáveis (substância ativa) não permite dirigir e operar máquinas.
Como todos os medicamentos, Água para Injetáveis (substância ativa) (complexo lipídico de anfotericina B) pode causar efeitos indesejáveis, embora nem todos os apresentem.
Calafrios (16%),aumento de creatinina sérica (13%), pirexia (10%), hipocalemia (9%), náusea (7%) e vômito (6%).
Não foram conduzidos estudos formais de interação de Água para Injetáveis (substância ativa) (complexo lipídico de anfotericina B) com outros fármacos.
Duzentos e oitenta e dois pacientes refratários ou intolerantes à anfotericina B convencional, ou para os quais esta mostrou-se nefrotóxica, portadores de aspergiloses (n=111), candidíases (n=87), zigomicoses (n=25), criptococoses (n=16), fusarioses (n=11) e outras infecções fúngicas, foram tratados com Água para Injetáveis (substância ativa) (complexo lipídico de anfotericina B) em três estudos abertos. Os resultados destes estudos demonstraram a efetividade de Água para Injetáveis (substância ativa) no tratamento de infecções fúngicas invasivas.
Pacientes com aspergilose que iniciaram o tratamento com Água para Injetáveis (substância ativa) com níveis de creatinina sérica acima de 2,5 mg/dL apresentaram declínio do nível deste parâmetro durante o tratamento (Figura 1). Em um estudo retrospectivo de controle os níveis de creatinina sérica de pacientes tratados com Água para Injetáveis (substância ativa) apresentaram-se mais baixos quando comparados com os níveis dos pacientes tratados com anfotericina B convencional (Figura 1).
Figura 1: Alterações do nível médio de creatinina sérica ao longo do tempo Pacientes com aspergilose e creatinina sérica > 2,5 mg/dL na condição basal
[ ] = Número de pacientes em cada ponto de tempo.
Nota: As curvas não representam a evolução clínica de um paciente, mas sim a evolução clínica de uma coorte de pacientes em um estudo aberto.
Figura 2: Alterações do nível médio de creatinina sérica ao longo do tempo Pacientes com infecções fúngicas e creatinina sérica > 2,5 mg/dL na condição basal
[ ] = Número de pacientes em cada ponto de tempo.
Nota: As curvas não representam a evolução clínica de um paciente, mas sim a evolução clínica de uma coorte de pacientes em um estudo aberto.
Em um estudo randomizado de Água para Injetáveis (substância ativa) para o tratamento de candidíase invasiva em pacientes com função renal normal ao início do estudo, a incidência de nefrotoxicidade foi significativamente menor no grupo tratado com Água para Injetáveis (substância ativa) na dose de 5 mg/kg/dia do que no grupo tratado com anfotericina B convencional na dose de 0,7 mg/kg/dia.
Apesar de geralmente observar-se menor nefrotoxicidade de Água para Injetáveis (substância ativa) na dose de 5 mg/kg/dia quando comparado com terapia com anfotericina B convencional na dose de 0,6-1,0 mg/kg/dia, é possível, ainda assim, verificar-se toxicidade renal dose-limitante com Água para Injetáveis (substância ativa). A toxicidade renal de doses superiores a 5 mg/kg/dia de Água para Injetáveis (substância ativa) não foi formalmente estudada.
Grupo Farmacoterapêutico: Antimicóticos para Uso Sistêmico.
Código ATC: J02AA01.
Água para Injetáveis (substância ativa) (complexo lipídico de anfotericina B) é uma suspensão estéril, apirogênica, para infusão intravenosa.
Água para Injetáveis (substância ativa) consiste de anfotericina B complexada com dois fosfolipídios em razão molar de fármaco-lipídio de 1:1. Os dois fosfolipídios, L-?-dimiristoilfosfatidilcolina (DMPC) e L-?-dimiristoilfosfatidilglicerol (DMPG), estão presentes em razão molar de 7:3. Água para Injetáveis (substância ativa) é uma suspensão amarela e opaca, com pH entre 5 e 7.
Nota: A encapsulação lipossomal ou a incorporação em um complexo lipídico pode afetar substancialmente as propriedades funcionais do fármaco, em comparação às propriedades do fármaco não encapsulado ou não complexado a lipídios. Adicionalmente, diferentes produtos lipossomais ou complexos lipídicos diferentes, com um mesmo princípio ativo, podem diferir na composição química e na forma física do componente lipídico. Tais diferenças podem afetar as propriedades funcionais dos medicamentos.
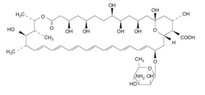
A anfotericina B, um polieno, é um antibiótico antifúngico produzido por uma cepa de Streptomyces nodosus. É quimicamente designado como:
[1R(1R*,3S*,5R*,6R*,9R*,11R*,15S*,16R*,17R*,18S*,19E,21E,23E,25E,27E,29E,31E,33R*,35S*, 36R*,37S*)]-33-[(3-Amino-3,6-dideoxi-b-D-manopirasonil)oxi]-1,3,5,6,9,11,17,37-octahidroxi-15,16,18-trimetil-13-oxo-14,39- dioxabiciclo[33.3.1]nonatriaconta-19,21,23,25,27,29,31-heptaeno-36-ácido carboxílico.
Apresenta peso molecular de 924,09 e fórmula molecular C47H73NO17.
Sua fórmula estrutural é:

O ensaio usado para dosar a anfotericina B no sangue após a administração de Água para Injetáveis (substância ativa) não distingue a anfotericina B complexada com fosfolipídios, de Água para Injetáveis (substância ativa), da anfotericina B não complexada.
A farmacocinética da anfotericina B após a administração de Água para Injetáveis (substância ativa) é não linear. O volume de distribuição e a depuração do sangue aumentam com o aumento da dose de Água para Injetáveis (substância ativa), resultando em aumentos não proporcionais das concentrações sanguíneas de anfotericina B na faixa de doses de 0,6 - 5,0 mg/kg/dia.
Os parâmetros farmacocinéticos da anfotericina B no sangue total após a administração de Água para Injetáveis (substância ativa) e desoxicolato de anfotericina B são:
|
Parâmetros farmacocinéticos da anfotericina B no sangue total em pacientes aos quais se administraram doses múltiplas de Água para Injetáveis (substância ativa) ou desoxicolato de anfotericina B | ||
|
Parâmetro farmacocinético | Água para Injetáveis (substância ativa) 5,0 mg/kg/dia por 5-7 dias Média ± SD |
Anfotericina B 0,6 mg/Kg/dia por 42 dias 1 Média ± SD |
|
Concentração máxima (?g/ml) | 1,7 ± 0,8 (n=10) 2 |
1,1 ± 0,2 (n=5) |
|
Concentração ao final do intervalo entre as doses (?g/ml) | 0,6 ± 0,3 (n=10) 2 |
0,4 ± 0,2 (n=5) |
|
Área sob a curva concentração sanguínea/tempo (AUC024h ) (µg*h/mL) | 14 ± 7 (n=14) 2,3 |
17,1 ± 5 (n=5) |
|
Depuração (mL/h*kg) | 436 ± 188,5 (n=14) 2,3 |
38 ± 15 (n=5) |
|
Volume de distribuição aparente (Vdárea ) (L/kg) | 131 ± 57,7 (n=8) 3 |
5 ± 2,8 (n=5) |
|
Meia-vida de eliminação terminal (h) | 173,4 ± 78 (n=8) 3 |
91,1 ± 40,9 (n=5) |
|
Quantidade excretada na urina nas 24 horas após a última dose (% da dose) 4 | 0,9 ± 0,4 (n=8) 3 |
9,6 ± 2,5 (n=8) |
1 Dados de pacientes com leishmaniose mucocutânea. Velocidade de infusão de 0,25 mg/kg/h.
2 Dados de estudos em pacientes com câncer citologicamente comprovado sendo tratados com quimioterapia ou pacientes neutropênicos com infecção fúngica presumida ou comprovada. Velocidade de infusão de 2,5 mg/kg/h.
3 Dados de pacientes com leishmaniose mucocutânea. Velocidade de infusão de 4 mg/kg/h.
4 Percentagem da dose excretada em 24 horas após a última dose.
O grande volume de distribuição e a alta depuração sanguínea da anfotericina B após administração de Água para Injetáveis (substância ativa) provavelmente refletem captação pelos tecidos. A longa meia-vida de eliminação final provavelmente reflete uma lenta redistribuição dos tecidos.
Embora a anfotericina B seja excretada lentamente, existe uma pequena acumulação no sangue após administração de múltiplas doses. A AUC da anfotericina B aumentou aproximadamente 34% a partir do dia 1 após a administração de Água para Injetáveis (substância ativa), na dose de 5 mg/kg/dia durante 7 dias.
Os efeitos do gênero ou da raça sobre a farmacocinética de Água para Injetáveis (substância ativa) não foram estudados.
As concentrações tissulares de anfotericina B (descritas na tabela abaixo) foram obtidas da autópsia de um paciente submetido a transplante cardíaco que recebeu três doses de Água para Injetáveis (substância ativa) de 5,3 mg/kg/dia:
|
Concentrações Tissulares | |
| Órgão |
Concetração Tissular de anfotericina B (µg/g) |
|
Baço | 290 |
|
Pulmão | 222 |
|
Fígado | 196 |
|
Nódulos Linfáticos | 7,6 |
|
Rim | 6,9 |
|
Corção | 5 |
|
Cérebro | 1,6 |
Este padrão de distribuição é consistente com o observado em estudos pré-clínicos em cães, nos quais as maiores concentrações de anfotericina B, após administração de Água para Injetáveis (substância ativa) foram observadas no fígado, baço e pulmão; entretanto, a relação entre as concentrações tissulares de anfotericina B, quando administrada como Água para Injetáveis (substância ativa), e sua atividade biológica é desconhecida.
| Fabricante |
| SAMTEC |
| Princípio ativo |
| água para injetáveis qsp |
| Categoria do medicamento |
| Primeiros Socorros |
Comparar preços de remédios e medicamentos no CliqueFarma é rápido e simples.
O CliqueFarma, é uma ferramenta para comparativo de preços de produtos farmacêuticos. Não comercializamos, não indicamos, não receitamos, nenhum tipo de medicamento essa função cabe exclusivamente a médicos e farmacêuticos. Não consuma qualquer tipo de medicamento sem consultar seu médico.SE PERSISTIREM OS SINTOMAS, O MÉDICO DEVERÁ SER CONSULTADO. PROCURE UM MÉDICO E O FARMACÊUTICO. LEIA A BULA.
Ainda com dúvidas?Conheça nossos Termos de Uso