
R$ 11.460,00
BBiológicos
13
ofertasMelhores preços a partir de R$ 11.460,00 até R$ 15.347,23
Menor preço
economize
25.33%
R$ 11.460,00
economize
19.72%
R$ 12.319,99
economize
18.63%
R$ 12.487,70
Frete Grátis para SP e MG em Compras Acima de R$ 149,90.
economize
18.63%
R$ 12.487,70
Dúvidas quanto ao Preço ou Frete? Clique e vá direto ao site da Drogaria.
economize
18.63%
R$ 12.487,70
Dúvidas quanto ao Preço ou Frete? Clique e vá direto ao site da Drogaria.
economize
18.63%
R$ 12.487,80
economize
18.63%
R$ 12.487,85
Dúvidas quanto ao Preço ou Frete? Clique e vá direto ao site da Drogaria.
economize
16.18%
R$ 12.863,67
Frete Grátis para SP e MG em Compras Acima de R$ 149,90.
economize
12.10%
R$ 13.490,00
Farmácia de medicamentos oncológicos. Parcelamos em até 6 x sem juros.
economize
11.85%
R$ 13.528,98
economize
8.98%
R$ 13.969,00
economize
7.16%
R$ 14.248,07
R$ 15.347,23
Somavert é indicado para o tratamento da acromegalia (doença causada por aumento da produção do hormônio de crescimento - GH) em pacientes que apresentaram resposta inadequada à cirurgia e/ou à radioterapia (tratamento em que se utiliza radiação) e para os pacientes cujo tratamento médico com análogos da somatostatina (medicamentos semelhantes à somatostatina - hormônio que inibe a secreção de GH) não normalizou as concentrações séricas (do sangue) de IGF-I (substância produzida por estímulo do GH) ou não foi tolerado.
O objetivo do tratamento com Somavert é normalizar os níveis séricos de IGF-I.
O hormônio de crescimento (GH) é uma substância naturalmente produzida pelo organismo, mas quando produzido de forma excessiva pode causar danos ao organismo. Somavert é um medicamento utilizado no tratamento de pacientes com acromegalia (doença causada por aumento da produção do hormônio de crescimento). Somavert liga-se no mesmo local onde o hormônio de crescimento liga-se nas células do organismo, impedindo desta maneira a ação deste hormônio.
Somavert é contraindicado caso você apresente hipersensibilidade (alergia) ao pegvisomanto (substância ativa de Somavert) ou a qualquer componente da fórmula.
Somavert deve ser utilizado por via subcutânea.
O tratamento deve ser iniciado sob supervisão de um médico especializado no tratamento da acromegalia, que deve instruí-lo a utilizar o medicamento.
Os níveis sanguíneos de IGF-I devem ser determinados antes do inicio da terapia.
Em geral, deve-se administrar uma dose de ataque de 80mg de pegvisomanto por via subcutânea, sob supervisão médica. Após esta dose inicial, Somavert reconstituído (mistura do pó com o diluente) em 1 mL de diluente deve ser administrado uma vez por dia por via subcutânea. O local da administração deve ser revezado diariamente a fim de evitar lipo-hipertrofia (aumento de gordura localizada).
A dose de Somavert deve ser determinada exclusivamente pelo seu médico.
Os ajustes de dose devem ser feitos, a critério médico, com base nos níveis séricos (do sangue) de IGF-I (substância produzida por estímulo do GH). As concentrações séricas de IGF-I devem ser medidas a cada 4 a 6 semanas e ajustes de dose apropriados devem ser feitos aumentando-se 5mg/dia, a fim de manter a concentração sérica de IGF-I dentro do intervalo normal ajustado para a idade e aliviar os sinais e sintomas da acromegalia.
A dose máxima não deve ser superior a 30mg/dia.
Não é necessário ajuste de doses em idosos.
A segurança e a eficácia de Somavert em crianças ainda não foram estabelecidas.
A segurança e a eficácia de Somavert em pacientes com insuficiência renal ou hepática ainda não foram estabelecidas.
A sensibilidade à insulina pode aumentar após o início do tratamento com Somavert. Portanto, se você tiver diabetes mellitus, pode ser necessário reduzir a dose da insulina ou do hipoglicemiante oral (medicamento que reduz a glicose no sangue) a critério médico.
O seu médico deve orientá-lo a como diluir e aplicar Somavert.
Somavert apresenta-se na forma de um pó liofilizado (seco).
Use apenas o diluente que se encontra na mesma embalagem de Somavert para diluir o produto. Não use outro líquido.
O diluente que acompanha Somavert contém 8 mL de água para injetáveis, porém somente 1 mL é necessário para a diluição do medicamento. O restante deve ser descartado.
Para reconstituir Somavert, injete 1 mL do diluente (água estéril para injeção) que se encontra na mesma embalagem de Somavert, no frasco que contém o pó liofilizado, direcionando o jato da água contra a parede do frasco. Segure o frasco entre as palmas das mãos e gire o frasco suavemente para dissolver o pó. Não agite vigorosamente o frasco, pois pode ocorrer a desnaturação (perda do efeito) da substância ativa pegvisomanto.
Após a reconstituição, cada frasco de Somavert conterá 10mg ou 15mg de pegvisomanto em 1 mL de solução.
A solução deve ser límpida após a reconstituição. Se a solução estiver turva ou contiver material particulado, o produto não deve ser utilizado. Apenas uma dose deve ser administrada por frasco e a solução deve ser administrada logo após a reconstituição.
Somavert é para uso único. Descartar devidamente qualquer produto não utilizado.
Siga a orientação de seu médico, respeitando sempre os horários, as doses e a duração do tratamento.
Não interrompa o tratamento sem o conhecimento do seu médico.
Caso você se esqueça de aplicar Somavert no horário estabelecido pelo seu médico, pule a dose esquecida e aplique a próxima, continuando normalmente o esquema de doses recomendado pelo seu médico. Não aplique o medicamento duas vezes para compensar doses esquecidas.
Em caso de dúvidas, procure orientação do farmacêutico ou de seu médico, ou cirurgião-dentista.
Somavert não diminui o tamanho de tumores na hipófise. Por este motivo, é muito importante que o seu médico acompanhe rigorosamente esses tumores para observar precocemente o crescimento eventual do tumor durante o tratamento.
Antes de iniciar o tratamento com Somavert seu médico deverá avaliar os níveis séricos (do sangue) basais (antes do tratamento) de algumas enzimas do fígado. Se você apresentar elevações nos exames de enzimas hepáticas, ou qualquer outro sinal ou sintoma de alterações do fígado, enquanto estiver em tratamento com Somavert, seu médico deverá monitorar o tratamento mais de perto. Se as alterações dos exames hepáticos estiverem muito altas (ou seja, se os valores dos resultados estiverem muito acima dos limites considerados normais para esses exames), o tratamento com Somavert deverá, a critério médico, ser descontinuado. O tratamento com Somavert não deve ser iniciado ou continuado caso o paciente apresente sinais de doenças no fígado, a menos que uma detalhada avaliação hepática (do fígado) seja realizada.
Somavert produz reação cruzada com os testes disponíveis no mercado para dosagem dos níveis sanguíneos de hormônio do crescimento, resultando em níveis superestimados deste hormônio. Além disso, o próprio tratamento com Somavert produz elevação nos níveis de hormônio do crescimento. Desta maneira, os níveis sanguíneos de hormônio do crescimento não podem ser utilizados para avaliar o tratamento com Somavert. Por outro lado, as concentrações sanguíneas de IGF-I devem ser acompanhadas e mantidas dentro do intervalo normal ajustado para a sua idade.
Somavert é um antagonista (impede a ação) potente da ação do hormônio de crescimento. Pode haver um estado de falta de hormônio de crescimento devido à utilização de Somavert.
O uso concomitante (ao mesmo tempo) de Somavert e insulina ou hipoglicemiantes orais (medicamentos utilizados por diabéticos que reduzem o açúcar no sangue) revelou risco de hipoglicemia (diminuição da glicose no sangue). Desta maneira, se você tiver acromegalia e diabetes mellitus, as doses de insulina ou de hipoglicemiantes orais podem ser reduzidas a critério do seu médico.
Atenção: Este medicamento contém Açúcar, portanto, deve ser usado com cautela em portadores de Diabetes.
Gripe, diarreia, dor nas costas.
Sinusite, tontura, parestesia (dormência e formigamento), hipertensão (pressão alta), náusea (enjoo), rash* (erupção cutânea), prurido* (coceira), dor, reação no local da injeçãoa, dor no peito, edema periférico (inchaço nas extremidades do corpo), hipertrofia (aumento de volume) no local da injeção, testes anormais de função do fígado.
Infecção, hipersensibilidade (reação alérgica) ao medicamento*, urticária* (alergia de pele), eritema* (vermelhidão).
Reação anafilática* (reações alérgicas graves), reação anafilactoide* (reações alérgicas graves), laringoespasmo* (estreitamento da laringe), angioedema* (inchaço das partes mais profundas da pele ou da mucosa, geralmente de origem alérgica), ferimento.
aIncluindo hipersensibilidade no local da injeção
*RAM identificada pós-comercialização.
RAM = Reação adversa a medicamento.
Incluindo Reações anafilactoides/anafiláticas (reações alérgicas graves), Laringoespasmo (obstrução da via respiratória), Angioedema (inchaço das partes mais profundas da pele ou da mucosa, geralmente de origem alérgica), Reações generalizadas da pele como Rash (erupção cutânea), Eritema (vermelhidão), Prurido (coceira), Urticária (alergia da pele).
Informe ao seu médico, cirurgião-dentista ou farmacêutico o aparecimento de reações indesejáveis pelo uso do medicamento. Informe também à empresa através do seu serviço de atendimento.
Não existem dados disponíveis para o uso de Somavert em mulheres grávidas. O risco potencial para humanos é desconhecido. Somavert só deve ser utilizado durante a gravidez se o beneficio justificar o risco potencial ao feto.
Não se sabe se o pegvisomanto é encontrado no leite materno humano. Como vários medicamentos são encontrados no leite materno, não utilize Somavert durante a amamentação sem orientação médica.
Este medicamento não deve ser utilizado por mulheres grávidas sem orientação médica ou do cirurgião-dentista.
Não foram conduzidos estudos sobre os efeitos de Somavert sobre a capacidade de conduzir veículos ou operar máquinas.
Equivalente a 10mg ou 15mg de pegvisomanto, respectivamente.
Após a reconstituição de Somavert 10mg ou 15mg, 1mL da solução contém 10mg ou 15mg de pegvisomanto, respectivamente.
Excipientes: glicina, manitol, fosfato de sódio dibásico e fosfato de sódio monobásico monoidratado.
Cada frasco-ampola de diluente contém 8mL de água para injetáveis.
Em casos de superdose, procure o seu médico imediatamente. Neste caso, a administração de Somavert deve ser interrompida e não deve ser reiniciada até que os níveis de IGF-I (substância produzida por estímulo do GH - hormônio do crescimento) retornem aos níveis normais.
Em caso de uso de grande quantidade deste medicamento, procure rapidamente socorro médico e leve a embalagem ou bula do medicamento, se possível. Ligue para 0800 722 6001, se você precisar de mais orientações.
Não foi realizado estudo de interação. Deve-se considerar se o tratamento com análogos da somatostatina deve ser mantido. O uso de pegvisomanto em combinação com outros medicamentos para o tratamento da acromegalia não foi extensivamente investigado.
Os pacientes que estiverem recebendo insulina ou hipoglicemiantes orais podem necessitar de redução na dose dessas substâncias ativas devido ao efeito do pegvisomanto sobre a sensibilidade à insulina.
Pegvisomanto apresenta estrutura significativamente semelhante a do hormônio de crescimento, causando assim reação cruzada com os testes de hormônio de crescimento comercialmente disponíveis. Como as concentrações séricas das doses terapêuticas eficazes de pegvisomanto são em geral 100 a 1.000 vezes maiores do que as concentrações séricas reais do hormônio de crescimento observadas em pacientes acromegálicos, a determinação das concentrações séricas de hormônio de crescimento apresentarão resultados falsos nos ensaios de hormônio de crescimento comercialmente disponíveis. Portanto, o tratamento com pegvisomanto não deve ser monitorado ou ajustado com base nas concentrações séricas de hormônio de crescimento relatadas por estes ensaios.
Um total de cento e doze pacientes (63 homens e 49 mulheres) com acromegalia participaram de estudo multicêntrico, randomizado, duplo-cego, durante 12 semanas, comparando placebo e pegvisomanto. A média de idade ±SD foi de 48±14 anos e a duração média da acromegalia foi de 8±8 anos. Noventa e três pacientes já haviam passado por cirurgia hipofisária, dos quais 57 também haviam sido tratados com terapia de radiação convencional. Seis pacientes haviam sido submetidos à irradiação sem cirurgia, nove pacientes receberam apenas terapia medicamentosa, e quatro pacientes não tinham recebido nenhuma terapia anterior.
Os indivíduos foram qualificados a participar do estudo se a dosagem de níveis sérios de IGF-I fosse ? 1,3 vez o limite superior do intervalo ajustado para a idade média no mínimo de duas semanas após a descontinuação da terapia com análogo de somatostatina e cinco semanas depois da descontinuação da terapia com agonista de dopamina.
Placebo (n=32), 10 mg/dia (n=26), 15 mg/dia (n=26) ou 20 mg/dia (n=28).
O desfecho primário de eficácia foi a alteração da porcentagem em concentração do IGF-I desde o baseline até a semana 12. Estes 3 grupos que receberam pegvisomanto demonstraram reduções estatisticamente significativas nos níveis séricos de IGF-I (p<0,01) comparado com o grupo de placebo (Tabela 1).
Tabela 1 – Alteração média percentual de IGF-I da baseline até a semana 12 para população avaliada por intenção de tratamento

*p<0,01; n=número de pacientes; SD=desvio padrão.
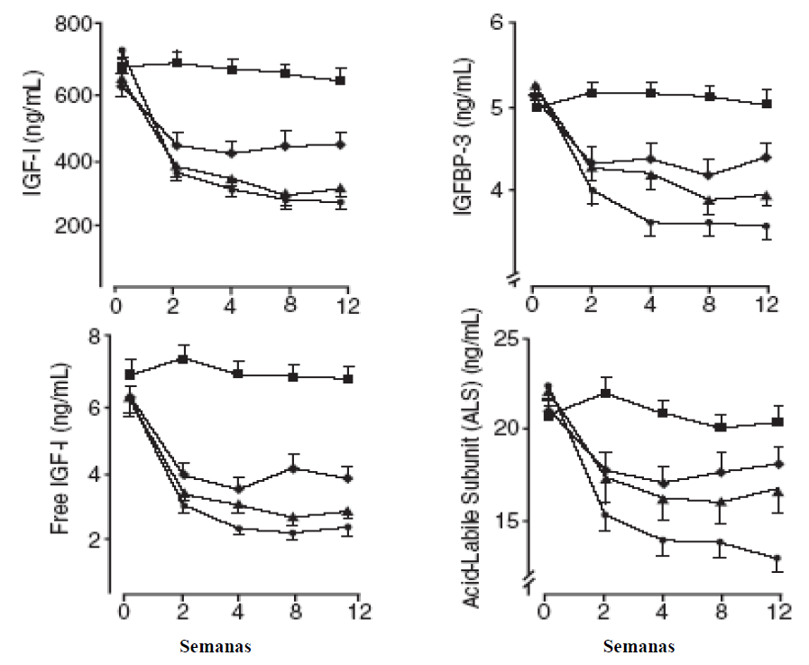
Comparado com placebo, em todas as visitas no inicio do tratamento, houve também reduções nos níveis séricos de IGF-I livre, de IGFBP-3 e de ALS (vide Figura 1).
Figura 1 – Efeitos do pegvisomanto em marcadores séricos (média ± erro padrão)

Placebo (n=31).
Pegvisomanto 10 mg/dia (n=25-26).
Pegvisomanto 15 mg/dia (n=24-26).
Pegvisomanto 20 mg/dia (n=27-28).
Após 12 semanas de tratamento, as seguintes porcentagens de pacientes tiveram IGF-1 normalizada (vide Figura 2).
Figura 2 – Porcentagem de pacientes cujos níveis de IGF-I normalizaram após 12 semanas de tratamento

A tabela 2 mostra os efeitos do tratamento com pegvisomanto no tamanho do anel (tamanho padrão de joalheiro europeu) e nos sinais e sintomas de acromegalia. Cada escore individual foi baseado em uma escala ordinal de nove pontos (0=ausente e 8=grave e incapacitante) e o escore total foi derivado da soma dos escores individuais.
Tabela 2 – Alteração média percentual, a partir da baseline (SD) até a semana 12, para o tamanho do anel e sinais e sintomas de acromegalia

Assim como medido nos ensaios dos estudos utilizando antibióticos que não apresentam reação cruzada com pegvisomanto, as concentrações séricas do hormônio do crescimento aumentaram em duas semanas após o início do tratamento com pegvisomanto. O maior aumento da concentração do hormônio do crescimento foi observado nos pacientes tratados com pegvisomanto 20 mg/dia. Este efeito é provavelmente devido à diminuição da inibição do hormônio do crescimento assim como a redução dos níveis séricos de IGF-I. Como mostrado na Figura 3, quando pacientes com acromegalia receberam uma dose de ataque de pegvisomanto seguida por uma dose fixa diária, a elevação do hormônio do crescimento foi inversamente proporcional à queda em IGF-I e geralmente estabilizou na semana 2.
No estudo de extensão, a redução observada na concentração sérica do IGF-1 nos meses 12 e 18 são similares aos observados nos pacientes tratados com pegvisomanto na dose de 20 mg/dia nas primeiras 12 semanas.
As concentrações séricas do hormônio do crescimento (GH) também permaneceram estáveis em pacientes tratados com pegvisomanto por até 18 meses.
Figura 3 – Alteração percentual nas concentrações séricas do hormônio de crescimento e IGF-I (Sm=semana)

Na extensão open-label do estudo clínico, 160 indivíduos tiveram média de exposição de tratamento de 425 dias.
O tratamento com pegvisomanto foi em geral bem tolerado. Apenas 2 pacientes apresentaram aumento nos níveis de enzimas hepáticas e descontinuaram o tratamento. Dos 90 pacientes acompanhados por mais de 12 meses de tratamento, 87 atingiram normalidade na concentração de IGF-1 (97%). Foi realizado estudo de corte aberto, de longa duração, com 38 pacientes acromegálicos, durante pelo menos 12 meses consecutivos de administração diária de pegvisomanto (média = 55 semanas) e titulação da dose. A concentração média de IGF-I neste estudo caiu de 917 ng/mL (± 356) para 299 ng/mL (± 134) no grupo tratado com pegvisomanto, com 92% atingindo uma concentração normal de IGF-I (ajustada para a idade).
O pegvisomanto liga-se seletivamente aos receptores de GH na membrana celular e não reage de forma cruzada com outros 19 receptores de citoquinas testadas, incluindo a prolactina. O pegvisomanto leva a reduções na concentração sérica de IGF-1, IGF-1 livre, IGFBP-3 e subunidade ácido labil de IGF-1.
Figura 4 – Os resíduos marcados indicam sítios de ligação PEG (Phe1,Lys38, Lys41, Lys70, Lys115, Lys120, Lys140, Lys145, Lys158)

O pegvisomanto liga-se seletivamente aos receptores do hormônio de crescimento na superfície das células, bloqueando a ligação do hormônio de crescimento endógeno, interferindo, dessa forma, na transdução do sinal intracelular do hormônio de crescimento. A inibição da ação do hormônio de crescimento pelo pegvisomanto leva à redução das concentrações séricas do fator de crescimento semelhante à insulina I (IGF-I), bem como das outras proteínas séricas responsivas ao hormônio de crescimento, incluindo a subunidade ácido-lábil do IGF-I (ALS) e a proteína de ligação do fator de crescimento semelhante à insulina-3 (IGFBP-3).
Após administração subcutânea, concentrações séricas máximas de pegvisomanto são atingidas em 33 a 77 horas após a administração. O nível médio de absorção de uma dose subcutânea de 20 mg foi de 57% em relação a uma dose intravenosa de 10 mg.
O volume aparente médio de distribuição do pegvisomanto é de 7 L (com coeficiente de variação de 12%), o que sugere que o pegvisomanto não seja extensivamente distribuído entre os tecidos. Após administração subcutânea única, a exposição ao pegvisomanto (Cmáx, AUC) aumenta desproporcionalmente com o aumento da dose. As concentrações sanguíneas médias (± SEM) de pegvisomanto após 12 semanas de tratamento com doses diárias de 10, 15 e 20 mg foram de, respectivamente, 6.600 ± 1.330; 16.000 ± 2.200; e 27.000 ± 3.100 ng/mL.
A molécula de pegvisomanto contém ligações covalentes a polímeros de polietilenoglicol, o que torna a velocidade de clearance reduzida. O clearance de pegvisomanto observado após doses múltiplas é mais baixo do que o observado após uma única dose. O clearance sistêmico corporal médio de pegvisomanto após doses múltiplas subcutâneas de 10 a 20 mg/dia varia de 36 a 28 mL/h, respectivamente. O clearance de pegvisomanto costuma aumentar de acordo com o peso corporal. O pegvisomanto é eliminado do soro sanguíneo com uma meia-vida de aproximadamente 6 dias, tanto após dose única como doses múltiplas.
Menos de 1% da dose administrada é recuperada na urina após 96 horas. A rota de eliminação do pegvisomanto não foi estudada em humanos.
Nenhum estudo farmacocinético foi conduzido em pacientes com insuficiência renal.
Nenhum estudo farmacocinético foi conduzido em pacientes com insuficiência hepática.
Nenhum estudo farmacocinético foi conduzido em pacientes idosos.
Nenhum estudo farmacocinético foi conduzido em pacientes pediátricos.
Nenhum efeito farmacocinético relacionado ao gênero (sexo masculino ou feminino) dos pacientes foi observado durante a análise farmacocinética de uma população.
Efeitos farmacocinéticos do pegvisomanto relacionados à etnia não foram estudados.
Os dados pré-clínicos não revelaram riscos especiais para humanos com base nos estudos convencionais de toxicidade de dose repetida em ratos e macacos e de potencial carcinogênico em ratos. No entanto, devido à resposta farmacológica acentuada em macacos, não foram estudadas exposições sistêmicas mais elevadas do que aquelas atingidas em pacientes nas doses terapêuticas. Com exceção de um teste em coelhos, nenhum outro estudo de toxicidade reprodutiva foi conduzido.
Somavert deve ser armazenado sob refrigeração (entre 2 e 8°C). Não congelar. Manter o frasco dentro da embalagem original a fim de mantê-lo protegido da luz.
Massa branca a levemente esbranquiçada.
Líquido incolor a verde-amarelado, transparente a levemente opalescente, sem partículas visíveis.
Utilizar Somavert imediatamente após a reconstituição. Descartar devidamente qualquer produto não utilizado.
Número de lote e datas de fabricação e validade: vide embalagem.
Não use medicamento com o prazo de validade vencido. Guarde-o em sua embalagem original.
Antes de usar, observe o aspecto do medicamento. Caso ele esteja no prazo de validade e você observe alguma mudança no aspecto, consulte o farmacêutico para saber se poderá utilizá-lo.
Todo medicamento deve ser mantido fora do alcance das crianças.
MS - 1.0216.0178
Farmacêutica Responsável:
Carolina C. S. Rizoli
CRF-SP Nº 27071
Registrado e Importado por:
Laboratórios Pfizer Ltda.
Rodovia Presidente Castelo Branco, km 32,5
CEP 06696-000 – Itapevi – SP
CNPJ nº 46.070.868/0036-99
Fabricado por:
Pfizer Manufacturing Belgium NV
Puurs – Bélgica
Embalado por:
Pharmacia & Upjohn Company
Kalamazoo, Michigan – EUA
Fabricado e Embalado por:
Pfizer Manufacturing Belgium NV
Puurs – Bélgica
Venda sob prescrição médica.
Comparar preços de remédios e medicamentos no CliqueFarma é rápido e simples.
O CliqueFarma, é uma ferramenta para comparativo de preços de produtos farmacêuticos. Não comercializamos, não indicamos, não receitamos, nenhum tipo de medicamento essa função cabe exclusivamente a médicos e farmacêuticos. Não consuma qualquer tipo de medicamento sem consultar seu médico.SE PERSISTIREM OS SINTOMAS, O MÉDICO DEVERÁ SER CONSULTADO. PROCURE UM MÉDICO E O FARMACÊUTICO. LEIA A BULA.
Ainda com dúvidas?Conheça nossos Termos de Uso