
R$ 126,08
RReferência
2
ofertasMelhores preços a partir de R$ 126,08 até R$ 154,80
Menor preço
economize
18.55%
R$ 126,08
Entregas para todo o Brasil. Clique e confira!
R$ 154,80
Inclusive hipercolesterolemias de transmissão genética/familiar (familiar homozigótica, disbetalipoproteinemia, etc), quando a resposta à dieta e outras medidas não-farmacológicas forem inadequadas.
Citalor é indicado para prevenção secundária (aquela que é instituída depois de um evento para evitar que ele ocorra novamente) de síndrome coronária aguda (doença em que o músculo cardíaco recebe menor fluxo de sangue).
Citalor também pode ser usado para prevenção de complicações cardiovasculares (vasos sanguíneos e coração) em pacientes sem doença cardiovascular ou dislipidemia preexistente, mas com múltiplos fatores de risco (tabagismo, hipertensão, diabetes, HDL baixo ou história familiar de doença cardíaca precoce).
Citalor é indicado para o tratamento de pacientes com doença cardíaca (do coração) e coronariana (dos vasos do coração) para reduzir o risco de complicações como: infarto do miocárdio não fatal, de acidente vascular cerebral (derrame) fatal e não fatal, de procedimentos de revascularização (para desobstrução das artérias), de hospitalização por insuficiência cardíaca congestiva (doença em que o músculo cardíaco não consegue bombear o sangue para o corpo) e de angina (dor no peito devido a problemas no coração e seus vasos).
Citalor age reduzindo a quantidade de colesterol (gordura) total no sangue diminuindo os níveis das frações prejudiciais (LDL-C, apolipoproteína B, VLDL-C, triglicérides) e aumentando os níveis sanguíneos do colesterol benéfico (HDL-C).
A ação de Citalor se dá pela inibição de produção de colesterol pelo fígado, e aumento da absorção e destruição de frações prejudiciais (LDL) do colesterol.
Citalor é contraindicado a pacientes que apresentam hipersensibilidade a qualquer componente da fórmula; doença hepática (do fígado) ativa ou elevações persistentes inesperadas das transaminases séricas (enzimas do fígado), excedendo em 3 vezes o limite superior da normalidade; durante a gravidez ou lactação (amamentação) ou a mulheres em idade fértil que não estejam utilizando medidas contraceptivas (para evitar gravidez) eficazes.
Citalor deve ser administrado a adolescentes e mulheres em idade fértil somente quando a gravidez for altamente improvável e desde que estas pacientes tenham sido informadas dos potenciais riscos ao feto.
Este medicamento é contraindicado para menores de 10 anos de idade.
Citalor não deve ser utilizado por mulheres grávidas ou que possam ficar grávidas durante o tratamento.
Este medicamento deve ser usado após a prescrição médica. A dose pode variar de 10 a 80 mg em dose única diária, usada a qualquer hora do dia, com ou sem alimentos.
As doses iniciais e de manutenção devem ser individualizadas de acordo com os níveis iniciais do colesterol sanguíneo, a meta do tratamento e a resposta do paciente.
Após o início do tratamento e/ou durante o ajuste de dose de Citalor, os efeitos aparecem após 2 a 4 semanas, portanto os exames para avaliação do resultado do ajuste da dosagem devem ser feitas após esse período.
Vide item "Precauções".
A insuficiência renal não apresenta influência nas concentrações plasmáticas (sanguíneas) do Citalor.
Portanto, o ajuste de dose não é necessário.
Não foram observadas diferenças entre pacientes idosos e a população em geral com relação à segurança, eficácia ou alcance do objetivo do tratamento de lípides (gorduras do sangue).
Siga a orientação de seu médico, respeitando sempre os horários, as doses e a duração do tratamento.
Não interrompa o tratamento sem o conhecimento do seu médico.
Este medicamento não deve ser partido, aberto ou mastigado.
Caso você esqueça-se de tomar uma dose de Citalor no horário estabelecido pelo seu médico, tome-a assim que lembrar. Não tome Citalor se fizer mais de 12 horas que você esqueceu-se de tomar a sua última dose.
Espere e tome a dose seguinte no horário habitual. Não tome 2 doses de Citalor ao mesmo tempo. O esquecimento de dose pode comprometer a eficácia do tratamento.
Em caso de dúvidas, procure orientação do farmacêutico ou de seu médico, ou cirurgião-dentista.
Sempre avise o seu médico todas as medicações que você toma quando ele for prescrever uma medicação nova.
O médico precisa avaliar se as medicações reagem entre si alterando a sua ação, ou da outra; isso se chama interação medicamentosa.
Siga estritamente as orientações do seu médico. Medicamentos que reduzem a quantidade de lípides (gordura) no sangue agem no metabolismo (transformação) dos lípides no fígado, raramente isso pode levar a alteração dos níveis de enzimas hepáticas (substâncias produzidas pelo fígado) na corrente sanguínea, que voltam ao normal com diminuição ou retirada do tratamento.
Recomenda-se que testes de função do fígado sejam feitas antes do início do tratamento e periodicamente.
Citalor deve ser usado com cuidado em pacientes com maior risco de alterações da função do fígado (por exemplo, uso abusivo de bebidas alcoólicas, portadores de doenças hepáticas).
Pacientes com AVC hemorrágico (tipo de derrame cerebral) prévio parecem apresentar um risco maior para apresentarem um novo AVC hemorrágico.
Relate imediatamente ao seu médico se surgirem inesperadamente dor muscular, alterações da sensibilidade ou fraqueza muscular, particularmente se for acompanhada de mal-estar ou febre.
Miopatia (dor ou fraqueza muscular) devido à lesão dos músculos (diagnosticada através do aumento dos valores da substância CPK no sangue) pode ocorrer em pacientes que usam Citalor, sendo mais frequentes naqueles que usam também ciclosporina, fibratos, eritromicina, niacina ou antifúngicos azólicos.
Avise imediatamente o seu médico caso você faça uso de alguma dessas medicações.
Há raros casos de rabdomiólise (destruição de células musculares) acompanhada de alteração da função dos rins (insuficiência renal aguda) relatados em usuários de medicações da classe do Citalor. Por isso em situações em que os riscos de rabdomiólise aumentarem (infecção aguda grave, hipotensão – pressão baixa, cirurgia de grande porte, politraumatismos, distúrbios metabólicos, endócrinos e eletrolíticos e convulsões não controladas) recomenda-se a interrupção temporária de Citalor.
Informe ao seu médico ou cirurgião-dentista se você está fazendo uso de algum outro medicamento.
Não use medicamento sem o conhecimento do seu médico. Pode ser perigoso para a sua saúde.
Citalor é geralmente bem tolerado. As reações adversas foram geralmente de natureza leve e transitória.
Informe ao seu médico, cirurgião-dentista ou farmacêutico o aparecimento de reações indesejáveis pelo uso do medicamento. Informe também à empresa através do seu serviço de atendimento.
Citalor é contraindicado durante a gravidez. Não se sabe se Citalor é excretado no leite materno, devido aos riscos potenciais para os lactentes (bebês que mamam leite materno), mulheres utilizando Citalor não devem amamentar.
Não há evidências de que Citalor possa afetar a habilidade do paciente de dirigir ou operar máquinas.
Citalor 10 mg e 20 mg está indicado para o tratamento de hipercolesterolemia em pacientes acima de 10 anos de idade. As adolescentes devem ser aconselhadas sobre os métodos contraceptivos (para evitar gravidez) apropriados enquanto estiverem em tratamento com Citalor.
Atenção: Este medicamento contém Açúcar, portanto, deve ser usado com cautela em portadores de Diabetes.
Atorvastatina cálcica equivalente a 10 mg, 20 mg ou 40 mg de atorvastatina base, respectivamente.
Excipientes: carbonato de cálcio, celulose microcristalina, lactose monoidratada, croscarmelose sódica, polissorbato 80, hiprolose, estearato de magnésio, corante branco Opadry (hipromelose, macrogol, dióxido de titânio e talco), emulsão simeticona (simeticona, estearato emulsificante, espessantes, ácido benzóico, ácido sórbico e água) e cera candelila.
Atorvastatina cálcica equivalente a 80 mg de atorvastatina base.
Excipientes: carbonato de cálcio, celulose microcristalina, lactose monoidratada, croscarmelose sódica, polissorbato 80, hiprolose, estearato de magnésio, corante branco Opadry (hipromelose, macrogol, dióxido de titânio e talco) e emulsão simeticona (simeticona, estearato emulsificante, espessantes, ácido benzóico, ácido sórbico e água).
Não há tratamento específico para superdosagem com Citalor. No caso de superdosagem, o paciente deve receber tratamento sintomático e devem ser instituídas medidas de suporte, conforme a necessidade.
Em caso de uso de grande quantidade deste medicamento, procure rapidamente socorro médico e leve a embalagem ou bula do medicamento, se possível. Ligue para 0800 722 6001, se você precisar de mais orientações.
O risco de miopatia durante o tratamento com inibidores da HMG-CoA redutase se apresenta aumentado com a administração concomitante de ciclosporina, fibratos, niacina em doses que alteram o perfil lipídico ou inibidores do citocromo P450 3A4, por exemplo, eritromicina e antifúngicos azólicos.
A atorvastatina é metabolizada pelo CYP 3A4. A administração concomitante de atorvastatina com inibidores do CYP 3A4 pode levar a aumentos na concentração plasmática de atorvastatina. A extensão da interação e potencialização dos efeitos dependem da variabilidade dos efeitos sobre o citocromo P450 3A4.
A atorvastatina e os metabólitos de atorvastatina são substratos do transportador anion orgânico-transporte polipéptico (OATP1B1). Os inibidores de OATP1B1 (por exemplo, ciclosporina) podem aumentar a biodisponibilidade da atorvastatina. A coadministração de atorvastatina 10mg e ciclosporina 5,2mg/kg/dia resultou em aumento de 7,7 vezes na exposição de atorvastatina.
A coadministração de atorvastatina com eritromicina (500mg, quatro vezes ao dia ou a cada 6 horas) ou claritromicina (500mg, duas vezes ao dia ou a cada 12 horas), inibidores conhecidos do citocromo P450 3A4, foi associada a concentrações plasmáticas mais elevadas da atorvastatina.
A coadministração de atorvastatina e inibidores da protease, inibidores conhecidos do citocromo P450 3A4, foi associada ao aumento nas concentrações plasmáticas de atorvastatina.
A coadministração de atorvastatina (40mg) com diltiazem (240mg) foi associado com concentrações plasmáticas maiores de atorvastatina; cimetidina: um estudo de interação de atorvastatina com cimetidina foi realizado e não foi observada interação clinicamente significativa.
A administração concomitante de atorvastatina (20mg a 40mg) com itraconazol (200mg) foi associada ao aumento na AUC de atorvastatina.
A administração concomitante de atorvastatina com indutores do CYP 3A4 (por ex., efavirenz, rifampicina) pode levar a reduções variáveis nas concentrações plasmáticas de atorvastatina. Devido ao mecanismo de interação dupla de rifampicina, (indução e inibição do CYP 3A4 de hepatócito transportador de captação OATP1B1), é recomendada a coadministração simultânea de atorvastatina com rifampicina, visto que o atraso na administração de atorvastatina após administração de rifamcipina tem sido associada com uma redução significativa nas concentrações plasmáticas de atorvastatina.
A coadministração de atorvastatina com um antiácido na forma de suspensão oral contendo hidróxido de magnésio e de alumínio provocou uma diminuição nas concentrações plasmáticas de atorvastatina (aproximadamente 35%); entretanto, a redução no LDL-C não apresentou alterações.
Uma vez que a atorvastatina não afeta a farmacocinética da antipirina, não são esperadas interações com outros fármacos metabolizados através das mesmas isoenzimas.
As concentrações plasmáticas de atorvastatina foram menores (aproximadamente 25%) quando o colestipol foi administrado com atorvastatina. Entretanto, os efeitos nos lípides foram maiores quando a atorvastatina e colestipol foram coadministrados em comparação à administração isolada de qualquer um dos fármacos.
Quando foram coadministradas doses múltiplas de digoxina e atorvastatina 10mg, as concentrações plasmáticas no estado de equilíbrio não foram afetadas. Entretanto, as concentrações de digoxina aumentaram (aproximadamente 20%) após a administração diária de digoxina com atorvastatina 80mg. Pacientes utilizando digoxina devem ser monitorados adequadamente.
A coadministração de atorvastatina (10mg, 1 vez ao dia) com azitromicina (500mg, 1 vez ao dia) não alterou as concentrações plasmáticas da atorvastatina.
A coadministração de atorvastatina com um contraceptivo oral contendo noretindrona e etinilestradiol aumentou a área sob concentração versus valores da curva tempo os valores de (AUC) da noretindrona e do etinilestradiol em aproximadamente 30% e 20%. Estas elevações devem ser consideradas na escolha do contraceptivo oral em mulheres utilizando atorvastatina.
Foi realizado um estudo de interação de atorvastatina com varfarina e não foi observada qualquer interação clinicamente significante.
Embora os estudos de interação com atorvastatina e colchicina não tenham sido realizados, casos de miopatia têm sido relatados onde atorvastatina foi coadministrada com colchicina e cautela deve ser exercida ao prescrever atorvastatina com colchicina.
Num estudo de interação medicamentosa em pacientes saudáveis, a coadministração de atorvastatina 80mg com anlodipino 10mg resultou em um aumento de 18% na exposição de atorvastatina que não foi clinicamente significativa.
Embora estudos de interação com atorvastatina e ácido fusídico não tenham sido realizados, existe um risco aumentado de rabdomiólise em pacientes recebendo uma combinação de estatinas, incluindo a atorvastatina, e ácido fusídico. O mecanismo desta interação não é conhecido. Em pacientes em que a utilização de ácido fusídico sistêmico é considerada essencial, o tratamento com estatinas deve ser descontinuado durante toda a duração do tratamento com o ácido fusídico.
A terapia com estatina pode ser reintroduzida sete dias após a última dose de ácido fusídico. Em circunstâncias excepcionais, onde o uso prolongado de ácido fusídico sistêmico é necessário, por exemplo, para o tratamento de infecções graves, a necessidade de coadministração de atorvastatina e ácido fusídico somente deve ser considerada em uma análise caso a caso e sob rigorosa supervisão médica. O paciente deve ser aconselhado a procurar imediatamente o médico se sentir quaisquer sintomas de fraqueza muscular, dor ou sensibilidade.
Em estudos clínicos, a atorvastatina foi utilizada concomitantemente com agentes anti-hipertensivos e terapia de reposição de estrógenos sem evidências de interações adversas clinicamente significantes. Estudos de interação com agentes específicos não foram realizados.
Contém 1 ou mais componentes que inibem a CYP 3A4 e pode aumentar as concentrações plasmáticas de atorvastatina, especialmente com consumo excessivo de suco de grapefruit (> 1,2 litros por dia).
No estudo de Reversão da Aterosclerose com Terapia Hipolipemiante Intensiva (REVERSAL), o efeito da atorvastatina 80mg e da pravastatina 40mg na aterosclerose coronária foi avaliado pelo ultrassom intravascular (USIV), durante a angiografia, em pacientes com doença arterial coronariana. Neste estudo randomizado, duplo-cego, multicêntrico, controlado, o USIV foi realizado em 502 pacientes no período basal e após 18 meses. No grupo tratado com a atorvastatina (n=253), a mudança média percentual observada no volume total do ateroma (critério principal do estudo), quando comparado ao período basal, foi -0,4% (p=0,98) no grupo da atorvastatina e, +2,7% (p=0,001) no grupo da pravastatina (n = 249). Quando comparados aos da pravastatina, os efeitos da atorvastatina foram estatisticamente significantes (p=0,02).
No grupo da atorvastatina, o LDL-C foi reduzido para uma média de 2,04mmol/L ± 0,8 (78,9mg/dL ± 30) quando comparado ao período basal de 3,89mmol/L ± 0,7 (150mg/dL ± 28), e no grupo da pravastatina o LDL-C foi reduzido para uma média de 2,85mmol/L ± 0,7 (110mg/dL ± 26) quando comparado ao período basal de 3,89mmol/L ± 0,7 (150mg/dL ± 26) (p < 0,0001). A atorvastatina também reduziu significativamente a média do CT em 34,1% (pravastatina: -18,4%, p<0,0001), os níveis médios de TG em 20% (pravastatina: - 6,8%, p<0,0009) e a média de apolipoproteína B em 39,1% (pravastatina: -22,0%, p<0,0001). A atorvastatina aumentou o HDL-C em 2,9% (pravastatina: +5,6%, p = NS).
Houve uma redução média de 36,4% na proteína reativa C (CRP) no grupo da atorvastatina, comparado com uma redução de 5,2% no grupo da pravastatina (p<0,0001). O perfil de segurança e tolerabilidade dos 2 grupos de tratamento foi comparável.
No estudo de Prevenção do AVC pela Redução Agressiva nos Níveis de Colesterol (SPARCL – Stroke Prevention by Aggressive Reduction in Cholesterol Levels), os efeitos da atorvastatina 80mg diários ou placebo sobre o AVC foram avaliados em 4731 pacientes que apresentavam AVC ou ataque isquêmico transitório (AIT) dentro do período de 6 meses e sem histórico de doença arterial coronária (DAC). Os pacientes eram 60% homens, de 21 a 92 anos de idade (idade média de 63 anos) e tinham um baseline médio de 133mg/dL (3,4mmol/L). O LDL-C médio foi de 73mg/dL (1,9mmol/L) durante o tratamento com atorvastatina e 129mg/dL (3,3mmol/L) durante o tratamento com placebo. O acompanhamento médio foi de 4,9 anos.
A atorvastatina 80mg reduziu o risco de endpoint primário de AVC fatal e não fatal em 15% [hazard ratio (HR)] 0,85; IC 95%, 0,72-1,00; p=0,05 ou 0,84; IC 95%; 0,71-0,99; p=0,03 após ajuste para fatores basais) comparado com o placebo. A atorvastatina 80mg reduziu significativamente o risco de eventos coronarianos principais (HR 0,67; IC 95%, 0,51-0,89; p=0,006), qualquer evento de DAC (HR 0,60; IC 95%, 0,48-0,74; p<0,001), e procedimentos de revascularização (HR 0,57; IC 95%, 0,44-0,74; p<0,001).
Em uma análise post-hoc, a atorvastatina 80mg reduziu a incidência de AVC isquêmico (218/2.365, 9,2% vs. 274/2.366, 11,6%, p=0,01) e aumentou a incidência de AVC hemorrágico (55/2.365, 2,3% vs. 33/2.366, 1,4%, p=0,02) comparado ao placebo. A incidência de AVC hemorrágico fatal foi similar entre os grupos (17 de atorvastatina vs. 18 de placebo). A redução do risco de eventos cardiovasculares com atorvastatina 80mg foi demonstrada em todos os grupos de pacientes exceto nos pacientes que entraram no estudo com AVC hemorrágico e apresentaram AVC hemorrágico recorrente (7 de atorvastatina vs. 2 de placebo), onde o número de eventos foi muito pequeno para discernir risco e benefício.
Em pacientes tratados com atorvastatina 80mg houve poucos casos de AVC de qualquer tipo (265 de atorvastatina vs. 311 de placebo) e poucos eventos de DAC (123 de atorvastatina vs. 204 de placebo). A mortalidade total foi similar nos grupos de tratamento (216 de atorvastatina vs. 211 de placebo). A incidência total de eventos adversos e eventos adversos sérios foi similar entre os grupos de tratamento.
Em um estudo clínico duplo-cego, placebo-controlado, seguido de uma fase aberta, com 187 meninas pós-menarca e meninos, com idades variando entre 10 a 17 anos (média de idade de 14,1 anos), com hipercolesterolemia familiar heterozigótica ou hipercolesterolemia grave, foram randomizados para atorvastatina (n=140) ou placebo (n=47) por 26 semanas e em seguida todos receberam atorvastatina durante 26 semanas. Os critérios para inclusão no estudo foram: um valor basal de LDL-C ? 190mg/dL ou; um valor basal de LDL-C ? 160mg/dL e histórico familiar positivo de hipercolesterolemia familiar heterozigótica ou doença cardiovascular prematura documentada em parentes de primeiro ou segundo grau. O valor basal médio de LDL-C foi de 218,6/dL (variando entre 138,5 e 385,0mg/dL) no grupo da atorvastatina comparado a 230,0mg/dL (variando entre 160,0 e 324,5mg/dL) no grupo do placebo. A dosagem de atorvastatina (uma vez ao dia) foi de 10 para as primeiras 4 semanas e aumentada para 20mg se o nível de LDL-C fosse > 130mg/dL. O número de pacientes tratados com atorvastatina que necessitaram de aumento de dose para 20mg após 4 semanas durante a fase duplo-cega foi de 78 (55,7%). A atorvastatina diminuiu significantemente os níveis plasmáticos de CT, LDL-C, triglicérides e apo B durante as 26 semanas da fase duplo-cega.
Tabela 1 - Efeitos da redução de lipídeos da atorvastatina em meninos e meninas adolescentes com hipercolesterolemia familiar heterozigótica ou hipercolesterolemia grave (Mudança percentual media desde o valor basal ao endpoint na população com intenção de tratamento)

CT = colesterol total, LDL-C = lipoproteína de baixa densidade, HDL-C = lipoproteína de alta densidade, TG = triglicérides.
O valor médio de LDL-C alcançado foi de 130,7mg/dL (variando entre 70,0 e 242,0mg/dL) no grupo da atorvastatina em comparação a 228,5mg/dL (variando entre 152,0 e 385,0mg/dL) no grupo placebo durante as 26 semanas da fase duplo-cega.
Nesse estudo controlado limitado não foi observado qualquer efeito no crescimento ou maturação sexual em meninos ou alteração na duração do ciclo menstrual em meninas. A atorvastatina não foi avaliada em estudos clínicos controlados envolvendo pacientes pré-púberes ou pacientes menores de 10 anos de idade. A segurança e eficácia das doses superiores a 20mg não foram avaliadas em estudos controlados realizados com crianças. A eficácia de longo prazo da terapia com atorvastatina durante a infância para a redução da morbidade e mortalidade na idade adulta não foi estabelecida.
A dose inicial recomendada dos comprimidos de atorvastatina cálcica é de 10mg ou 20mg uma vez ao dia. Pacientes que precisam de uma grande redução no LDL-C (mais do que 45%) podem ser iniciados com 40mg uma vez ao dia. A taxa de dosagem dos comprimidos de atorvastatina de cálcio é de 10mg a 80mg uma vez ao dia. Os comprimidos de atorvastatina cálcica podem ser administrados como dose única a qualquer momento do dia, com ou sem alimento. A dose inicial de atorvastatina cálcica deve ser individualizada de acordo com as características do paciente assim como o objetivo da terapia e resposta (vide guias NCEP vigentes). Após iniciação e/ou na titulação dos comprimidos de atorvastatina de cálcio, os níveis de lipídeo devem ser analisados dentro de 2 a 4 semanas e a dosagem ajustada de acordo com a necessidade do paciente.
A atorvastatina reduz o CT, LDL-C, VLDL-C, apo B, triglicérides e aumenta o HDL-C em pacientes com hipercolesterolemia e dislipidemia mista. A resposta terapêutica é observada dentro de duas semanas, e a resposta máxima ocorre normalmente em quatro semanas, mantendo-se durante a terapia.
Os estudos em pacientes pediátricos foram limitados a pacientes com hipercolesterolemia familiar homozigótica.
Em dois estudos multicêntricos, placebo-controlados, dose-resposta, em pacientes com hipercolesterolemia, a atorvastatina foi administrada uma vez ao dia por 6 semanas, reduzindo significativamente o CT, LDL-C, apo B e triglicérides. A partir de 2 estudos dose-resposta em pacientes com hipercolesterolemia primária foram obtidos os seguintes resultados para placebo (n=21), atorvastatina 10mg (n=22), 20mg (n=20), 40mg (n=21) e 80mg (n=23) respectivamente:
Em pacientes com hiperlipoproteinemia de Fredrickson tipos IIa e IIb, agrupados a partir de 24 estudos clínicos controlados, as mudanças percentuais médias (25o e 75o percentil) do valor basal de HDL-C para atorvastatina 10, 20, 40 e 80mg foram 6,4 (variando entre -1,4 e 14,0); 8,7 (variando entre 0 e 17); 7,8 (variando entre 0 e 16) e 5,1 (variando entre -2,7 e 15), respectivamente. Adicionalmente, as análises dos dados demonstraram um decréscimo consistente e significativo no CT, LDL-C, triglicérides, razão CT/HDL-C e LDL-C/HDL-C.
A resposta à utilização de atorvastatina em 64 pacientes com hipertrigliceridemia isolada tratados em vários estudos clínicos está na tabela 1. Para os pacientes tratados com atorvastatina, o valor basal médio (mín; máx) de triglicérides foi de 565 (variando entre 267 e 1502).
Tabela 2 – Pacientes com níveis elevados de triglicérides; alterações percentuais médias (mín., máx.) a partir do valor basal

Resultados de um estudo cruzado, aberto em 16 pacientes (genótipos 14 apo E2/E2 e 2 apo E3/E2) com disbetalipoproteinemia (Fredrickson tipo III).
Tabela 3 - Estudo aberto, cruzado, em 16 pacientes com disbetalipoproteinemia (Fredrickson tipo III)

![]()
A dose inicial recomendada dos comprimidos de atorvastatina em pacientes com hipercolesterolemia familiar homozigótica é de 10mg a 80mg diariamente. Os comprimidos de atorvastatina cálcica devem ser usados como um complemento a outros tratamentos hipolipemiantes (por exemplo, aferese LDL) nestes pacientes ou se tais tratamentos não estão disponíveis.
Em um estudo sem grupo controle, 29 pacientes com idades variando entre 6 e 37 anos com hipercolesterolemia familiar homozigótica receberam doses diárias de 20 a 80mg de atorvastatina. A média de redução do LDL-C no estudo foi de 18%. Vinte e cinco pacientes apresentaram uma redução média de LDL-C de 20% (variando entre 7 e 53%, média de 24%); os 4 pacientes restantes tiveram aumentos de 7% a 24% no LDL-C.
No estudo clínico “Redução da Isquemia Miocárdica através da Redução Intensiva dos Níveis de Colesterol”, mais conhecido como estudo MIRACL (Myocardial Ischemia Reduction with Aggressive Cholesterol Lowering), foram estudados os efeitos da terapia com atorvastatina em eventos isquêmicos e sobre a mortalidade total. Nesse estudo multicêntrico, randomizado, duplo-cego, placebo-controlado, foram avaliados 3086 pacientes com síndromes coronárias agudas, angina instável ou infarto do miocárdio não transmural (infarto sem onda Q).
Os pacientes foram tratados com procedimentos convencionais, incluindo dieta alimentar mais atorvastatina 80mg ou placebo, administrado diariamente, por um período médio de tratamento de 16 semanas. Os níveis finais de LDL-C, CT, HDL-C e triglicérides foram 72mg/dL; 147mg/dL; 48mg/dL e 139mg/dL, respectivamente, no grupo tratado com atorvastatina, e 135mg/dL; 217mg/dL; 46mg/dL e 187mg/dL, respectivamente, no grupo utilizando placebo. A atorvastatina reduziu significantemente o risco de morte e eventos isquêmicos (Figura 1) em 16%. O risco de re-hospitalização para angina do peito com evidências documentadas de isquemia miocárdica foi reduzido significantemente em 26%.
A atorvastatina reduziu o risco de morte e eventos isquêmicos de forma igual e consistente em todos os valores de LDL-C basais. Além disso, reduziu o risco de morte e eventos isquêmicos tanto em pacientes com infarto do miocárdio não transmural (infarto sem onda Q) como em pacientes com angina instável, em homens e em mulheres e em pacientes com idade ? 65 anos e > 65 anos.
Figura 1. Tempo até o primeiro evento isquêmico ou morte

No estudo Anglo-Scandinavian Cardiac Outcomes Trial Lipid Lowering Arm (ASCOT-LLA), o efeito da atorvastatina na doença coronária fatal e não fatal foi avaliada em 10.305 pacientes hipertensos de 40 a 80 anos de idade (média de idade de 63 anos), sem histórico de infarto do miocárdio e com níveis de triglicérides < 6,5mmol/L (251mg/dL). Além disso, apresentavam pelo menos 3 outros fatores de risco cardiovasculares (CV): sexo masculino, idade > 55 anos, tabagismo, diabetes, história de cardiopatia congênita em um parente de primeiro grau, CT:HDL > 6, doença vascular periférica, hipertrofia ventricular esquerda, acidente vascular cerebral prévio, anormalidade específica em ECG, proteinúria/albuminúria.
Neste estudo duplo-cego, placebo-controlado, os pacientes foram tratados com medicação anti-hipertensiva (meta de PA < 140/90mmHg para não diabéticos e < 130/80mmHg para diabéticos) e alocados para receber atorvastatina 10mg/dia (n = 5168) ou placebo (n = 5137). Considerando que o resultado do tratamento com a atorvastatina em comparação ao placebo excedeu o limiar de significância, em uma análise interina dos dados, o braço de redução lipídica foi encerrado precocemente (ASCOT-LLA) com 3,3 anos de seguimento ao invés de 5 anos, como originalmente planejado. Além disso, a pressão arterial foi bem controlada e semelhante em pacientes designados para atorvastatina e placebo. Essas alterações persistiram durante todo o período de tratamento.
A atorvastatina reduziu os índices relacionados aos seguintes eventos:

a Doença coronária;
b Infarto do miocárdio.
* Embora a redução de AVC fatal e não fatal não tenha alcançado o nível de significância predefinido (p=0,01), foi observada uma tendência favorável à redução de 26% do risco relativo.
A mortalidade total e a mortalidade cardiovascular não foram reduzidas de forma significativa, apesar de ter sido observada uma tendência favorável.
No Estudo Colaborativo Atorvastatina Diabetes (CARDS), o efeito da atorvastatina na doença cardiovascular fatal ou não fatal foi avaliada em 2.838 pacientes com diabetes tipo 2, com idade entre 40 a 75 anos, sem história prévia de doença cardiovascular e com LDL ? 4,14mmol/L (160mg/dL) e triglicérides ? 6,78mmol/L (600mg/dL). Além disso, todos os pacientes tinham pelo menos mais um fator dos seguintes fatores de risco cardiovascular: hipertensão, tabagismo, retinoplastia, microalbuminúria ou macroalbuminúria.
Neste estudo randomizado, duplo-cego, multicêntrico, placebo-controlado, os pacientes foram tratados com atorvastatina 10mg uma vez ao dia (n = 1428) ou com placebo (n = 1410) e acompanhados, em média, por 3,9 anos.
Uma vez que o efeito do tratamento com atorvastatina sobre o endpoint primário preencheu as regras pré-definidas de eficácia para a interrupção do estudo, o CARDS foi terminado 2 anos antes do esperado.
O efeito da atorvastatina na redução dos riscos absoluto e relativo foi o seguinte:

IAM = infarto agudo do miocárdio; RVM = revascularização do miocárdio; DAC = doença arterial coronariana; IM = infarto do miocárdio; PTCA = angioplastia coronária transluminal percutânea.
Não houve evidência de uma diferença no efeito do tratamento do paciente por sexo, idade ou nível de LDL-C da linha de base. Uma redução no risco de morte de 27% (82 mortes no grupo placebo comparado a 61 mortes no braço tratado) foi observada com uma significância estatística limítrofe (p = 0,0592). A incidência geral dos eventos adversos ou eventos adversos sérios foi similar entre os grupos sob tratamento.
No estudo Tratamento até Novas Metas mais conhecido como Treating to New Targets (TNT), o efeito de atorvastatina cálcica 80mg/dia vs. Atorvastatina cálcica 10mg/dia na redução de eventos cardiovasculares foi avaliado em 10.001 indivíduos (94% de raça branca, 81% de sexo masculino, 38% ? 65 anos de idade) com doença cardíaca coronariana clinicamente evidente que tinham atingido a meta de LDL-C < 130mg/dL após completarem o período de introdução de 8 semanas com atorvastatina cálcica 10mg/dia, em regime aberto. Os indivíduos foram randomizados para receber 10mg/dia ou 80mg/dia de atorvastatina cálcica e acompanhados por uma duração mediana de 4,9 anos. O endpoint primário foi o tempo até a primeira ocorrência de qualquer um dos seguintes eventos cardiovasculares importantes: óbito em decorrência de insuficiência cardíaca congestiva, infarto do miocárdio não fatal, parada cardíaca ressuscitada, e acidente vascular cerebral fatal e não fatal.
Os níveis médios de LDL-C, colesterol total, triglicérides e colesterol não HDL e HDL na semana 12 foram de 73mg/dL, 145mg/dL, 128mg/dL, 98mg/dL e 47mg/dL, respectivamente, durante o tratamento com 80mg de atorvastatina cálcica e 99mg/dL, 177mg/dL, 152mg/dL, 129mg/dL e 48mg/dL, respectivamente, durante o tratamento com 10mg de atorvastatina cálcica. O tratamento com atorvastatina cálcica 80mg/dia reduziu significativamente a taxa de eventos cardiovasculares maiores (MCVE) (434 eventos no grupo recebendo 80mg/dia vs. 548 eventos no grupo recebendo 10mg/dia) com uma redução do risco absoluto de 2,2% e do risco relativo de 22%, razão de risco de 0,78, IC de 95% (0,69-0,89), p=0,0002 (vide Figura 2 e Tabela 4). A redução global do risco foi consistente independentemente da idade (< 65, ? 65) ou sexo.
Figura 2. Efeito de atorvastatina cálcica 80mg/dia vs. 10mg/dia no Tempo até a Ocorrência de Eventos Cardíacos Importantes (TNT)

A atorvastatina 80mg reduz significantemente o risco dos seguintes:
Tabela 4 – Visão Geral dos Resultados de Eficácia no Estudo TNT


a Atorvastatina 80mg: atorvastatina 10mg.
b Componente de outros endpoints secundários.
* Principal endpoint cardiovascular (MCVE) = morte devido doença cardíaca coronariana, infarto do miocárdio não fatal, parada cardíaca ressucitada e AVC fatal e não fatal.
* Endpoints secundários não incluídos no endpoint primário
HR = hazard ratio; IC=intervalo de confiança; IM=infarto do miocárdio; ICC=insuficiência cardíaca congestiva; CABG – bypass da artéria coronária.
Os intervalos de confiança dos endpoints secundários não foram ajustados para comparações múltiplas.
Dentre os eventos incluídos no endpoint primário de eficácia, o tratamento com atorvastatina cálcica 80mg/dia reduziu significativamente a taxa de infarto do miocárdio não fatal, e não relacionado ao procedimento e a taxa de acidente vascular cerebral fatal e não fatal, porém não reduziu a taxa de óbito decorrente de doença cardíaca coronariana ou a taxa de parada cardíaca ressuscitada (Tabela 3). Dentre os endpoints secundários pré-definidos, o tratamento com atorvastatina cálcica 80mg/dia reduziu significativamente a taxa de revascularização coronariana, angina e hospitalização por insuficiência cardíaca, porém não reduziu a taxa de doença vascular periférica. A redução da taxa de ICC com hospitalização foi observada em apenas 8% dos pacientes com história anterior de ICC.
Não foi observada diferença significativa entre os grupos de tratamento com relação a todas as causas de mortalidade: 282 (5,6%) no grupo atorvastatina 10mg/dia vs. 284 (5,7%) no grupo atorvastatina 80mg/dia por todas as causas (Tabela 4). A proporção de pacientes com óbito cardiovascular, incluindo os componentes de óbito decorrente de ICC e acidente vascular cerebral fatal foi numericamente menor no grupo recebendo tratamento com atorvastatina cálcica 80mg que no grupo recebendo atorvastatina cálcica 10mg. A proporção de indivíduos com óbito não cardiovascular foi numericamente maior no grupo recebendo tratamento com atorvastatina cálcica 80mg que no grupo recebendo atorvastatina cálcica 10mg.
No estudo Redução Incremental nos Endpoints Através da Redução Agressiva dos Lipídeos, mais conhecido como Incremental Decrease in Endpoints Through Aggressive Lipid Lowering Study (IDEAL), o tratamento com atorvastatina cálcica 80mg/dia foi comparado ao tratamento com sinvastatina 20mg/dia a 40mg/dia em 8.888 indivíduos com até 80 anos de idade e com histórico de DCC, para avaliar se poderia ser atingida uma redução no risco cardiovascular. Os pacientes eram na maioria de sexo masculino (81%), de raça branca (99%) e com idade média de 61,7 anos, apresentando níveis médios de LDL-C de 121,5mg/dL por ocasião da randomização; 76% estavam recebendo terapia com estatina. Neste estudo prospectivo, randomizado, aberto, com endpoint cego (PROBE) sem período de introdução, os indivíduos foram acompanhados por uma duração mediana de 4,8 anos. Os níveis médios de LDL-C, colesterol total, triglicérides e colesterol HDL e não HDL na Semana 12 eram de 78mg/dL, 145mg/dL, 115mg/dL, 45mg/dL e 100mg/dL, respectivamente, durante o tratamento com 80mg de atorvastatina cálcica e 105mg/dL, 179mg/dL, 142mg/dL, 47mg/dL e 132mg/dL, respectivamente, durante o tratamento com 20mg a 40mg de sinvastatina.
Não foi observada diferença significativa entre os grupos de tratamento com relação ao endpoint primário, a taxa de primeiro evento coronariano importante (doença cardíaca coronariana fatal, infarto do miocárdio não fatal e parada cardíaca ressuscitada): 411 (9,3%) no grupo recebendo atorvastatina cálcica 80mg/dia vs. 463 (10,4%) no grupo recebendo sinvastatina 20mg a 40mg/dia, razão de risco 0,89, IC de 95% (0,78-1,01), p=0,07.
Não foram observadas diferenças significativas entre os grupos de tratamento com relação à mortalidade por todas as causas: 366 (8,2%) no grupo recebendo atorvastatina cálcica 80mg/dia vs. 374 (8,4%) no grupo recebendo sinvastatina 20mg/dia a 40mg/dia. A proporção de pacientes com óbito cardiovascular ou não cardiovascular foi similar aos grupos recebendo atorvastatina cálcica 80mg e sinvastatina 20mg a 40mg.
A atorvastatina cálcica é um agente de redução de lípides sintéticos, que é um inibidor da HMG-CoA redutase. Esta enzima catalisa a conversão de HMG-CoA em mevalonato, uma etapa inicial e limitante da velocidade na biossíntese do colesterol.
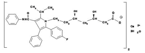
A fórmula empírica de atorvastatina cálcica é (C33H34FN2O5)2Ca • 3H2O e o seu peso molecular é 1209,42. A sua fórmula estrutural é:

A atorvastatina cálcica é um pó cristalino branco a esbranquiçado, praticamente insolúvel em soluções aquosas de pH 4 e abaixo. Ele é muito pouco solúvel em água destilada, pH 7,4 tampão de fosfato e acetonitrilo; ligeiramente solúvel em etanol; e livremente solúvel em metanol.
A atorvastatina é um inibidor seletivo e competitivo da HMG-CoA redutase, a enzima limitante da velocidade que converte HMG-Co-A a mevalonato, um precursor de esteróis, incluindo o colesterol. Em pacientes com hipercolesterolemia familiar homozigótica e heterozigótica, formas não familiares de hipercolesterolemia e dislipidemia mista, a atorvastatina reduz o CT (colesterol total), LDL-C (lipoproteína de baixa densidade) e apo B (apolipoproteína B). A atorvastatina também reduz o VLDL-C (lipoproteínas de densidade muito baixa) e os TG (triglicérides) e produz aumentos variáveis no HDL-C (lipoproteínas de alta densidade).
A atorvastatina diminui os níveis plasmáticos de colesterol e lipoproteínas através da inibição da HMG-CoA redutase e da síntese de colesterol no fígado, e aumenta o número de receptores de LDL hepáticos na superfície da célula, aumentando a absorção e o catabolismo do LDL.
A atorvastatina reduz a produção e o número de partículas de LDL. Produz um aumento marcante e prolongado na atividade do receptor de LDL, além de promover uma alteração benéfica na qualidade das partículas de LDL circulantes. O fármaco é eficaz na redução de LDL em pacientes com hipercolesterolemia familiar homozigótica, uma população que não responde normalmente à medicação de redução lipídica.
A atorvastatina e alguns de seus metabólitos são farmacologicamente ativos em humanos. O principal sítio de ação da atorvastatina é o fígado, que é o principal local de síntese de colesterol e clearance de LDL. A redução no LDL-C está mais relacionada à dose do medicamento do que à concentração sistêmica do fármaco. A individualização da dose do medicamento deve ser baseada na resposta terapêutica.
Em um estudo dose-resposta, a atorvastatina (10mg – 80mg) demonstrou reduzir as concentrações de CT (30% – 46%), LDL-C (41% – 61%), apo B (34% – 50%) e triglicérides (14% – 33%). Estes resultados são compatíveis em pacientes com hipercolesterolemia familiar heterozigótica, formas não familiares de hipercolesterolemia e hiperlipidemia mista, incluindo pacientes com diabetes melito não insulino-dependentes.
Em pacientes com hipertrigliceridemia isolada, a atorvastatina reduz o CT, o LDL-C, o VLDL-C, a apo B, triglicérides e não HDL-C, e aumenta o HDL-C. Em pacientes com disbetalipoproteinemia, reduz a lipoproteína de densidade intermediária-colesterol (IDL-C). Em pacientes com hiperlipoproteinemia de Fredrickson tipos IIa e IIb, reunidos em 24 estudos controlados, o aumento percentual médio a partir do valor basal no HDL-C para atorvastatina (10mg – 80mg) foi de 5,1 – 8,7% de maneira não relacionada à dose. Além disso, a análise destes dados demonstrou uma redução significativa relacionada à dose nas proporções de CT/HDL-C e LDL-C/HDL-C, variando de -29% para -44% e -37% para - 55%, respectivamente.
A atorvastatina é rapidamente absorvida após administração oral e concentrações plasmáticas máximas são atingidas dentro de 1 a 2 horas. A extensão da absorção e as concentrações plasmáticas aumentam em proporção à sua dose. A atorvastatina em comprimidos apresenta biodisponibilidade entre 95% e 99% em comparação à solução. A biodisponibilidade absoluta é de aproximadamente 14% e a disponibilidade sistêmica da atividade inibitória sobre a HMG-CoA redutase é de aproximadamente 30%. A baixa disponibilidade sistêmica é atribuída ao clearance pré-sistêmico na mucosa gastrintestinal e/ou ao metabolismo hepático de primeira passagem.Embora o alimento diminua a taxa e a extensão da absorção do fármaco em aproximadamente 25% e 9%, respectivamente, como observado através da Cmáx e da AUC, a redução no LDL-C é semelhante se a atorvastatina for administrada com ou sem alimentos. As concentrações plasmáticas de atorvastatina são mais baixas (aproximadamente 30% para Cmáx e AUC) após a administração do medicamento à noite, quando comparada à administração pela manhã. Entretanto, a redução no LDL-C é a mesma independente da hora em que o fármaco é administrado.
O volume médio de distribuição da atorvastatina é de aproximadamente 381 litros. A atorvastatina apresenta uma taxa de ligação às proteínas plasmáticas igual ou superior a 98%. Uma proporção glóbulo vermelho do sangue/plasma de aproximadamente 0,25 indica baixa penetração do fármaco nos glóbulos vermelhos do sangue (eritrócitos).
A atorvastatina é amplamente metabolizada a derivados orto e para-hidroxilados e a vários produtos de beta-oxidação. A inibição da HMG-CoA redutase pelos metabólitos orto e para-hidroxilados in vitro é equivalente àquela observada com a atorvastatina. Aproximadamente 70% da atividade inibitória circulante sobre a HMG-CoA redutase é atribuída aos metabólitos ativos. Estudos in vitro sugerem a importância do metabolismo da atorvastatina pelo citocromo hepático P450 3A4, conforme o aumento das concentrações plasmáticas de atorvastatina em humanos após coadministração com eritromicina, um inibidor conhecido desta isoenzima.
Estudos in vitro também indicaram que a atorvastatina é um inibidor fraco do citocromo P450 3A4. A coadministração de atorvastatina e terfenadina não produziu um efeito clinicamente significante nas concentrações plasmáticas da terfenadina, um composto predominantemente metabolizado pelo citocromo P450 3A4. Portanto, é improvável que a atorvastatina altere significantemente a farmacocinética de outros substratos do citocromo P450 3A4. Em animais, o metabólito orto-hidroxilado sofre posteriormente glicuronidação.
A atorvastatina e seus metabólitos são eliminados principalmente na bile após metabolismo hepático e/ou extra-hepático; entretanto, o fármaco parece não sofrer recirculação entero-hepática. A meia-vida de eliminação plasmática média em humanos é de aproximadamente 14 horas, mas a meia-vida da atividade inibitória para a HMG-CoA redutase é de 20 a 30 horas, devido à contribuição dos metabólitos ativos. Menos de 2% de uma dose de atorvastatina é recuperada na urina após administração oral.
As concentrações plasmáticas da atorvastatina se apresentam mais elevadas (aproximadamente 40% para Cmáx e 30% para AUC) em indivíduos idosos sadios (65 anos de idade ou mais) do que em adultos jovens. O estudo ACCESS avaliou especificamente pacientes idosos com relação ao alcance da meta de tratamento segundo o Programa Nacional de Colesterol dos EUA (NCEP – National Cholesterol Education Program). O estudo incluiu 1.087 pacientes com menos de 65 anos, 815 pacientes com mais de 65 anos e 185 pacientes com mais de 75 anos de idade. Não foram observadas diferenças entre pacientes idosos e a população em geral com relação à segurança, eficácia ou alcance do objetivo do tratamento de lípides.
Não foram conduzidos estudos de farmacocinética na população pediátrica.
As concentrações plasmáticas de atorvastatina em mulheres são diferentes das observadas nos homens (aproximadamente 20% mais altas para Cmáx e 10% mais baixas para AUC). Entretanto, não houve diferenças clinicamente significativas do efeito nos lípides entre homens e mulheres.
Disfunção renal não apresenta influência nas concentrações plasmáticas ou no efeito da atorvastatina como hipolipemiante. Portanto, não é necessário o ajuste de dose em pacientes com disfunção renal.
Apesar de não terem sido realizados estudos em pacientes com insuficiência renal em estágio terminal, não se espera que a hemodiálise aumente significativamente o clearance da atorvastatina, uma vez que este fármaco se liga amplamente às proteínas plasmáticas.
As concentrações plasmáticas de atorvastatina aumentam acentuadamente (aproximadamente 16 vezes na Cmáx e 11 vezes na AUC) em pacientes com hepatopatia alcoólica crônica (classe B de Child-Pugh).
O efeito de medicamentos coadministrados sobre a farmacocinética de atorvastatina, bem como o efeito da atorvastatina sobre a farmacocinética de medicamentos coadministrados é resumido nas Tabelas 5 e 6.
Tabela 5 – Efeitos na farmacocinética da atorvastatina devido coadministração de medicamentos


& Alteração do número de “vezes” = alteração da razão [(I-B)/B], onde I = valor da farmacocinética durante a fase de interação, e B = valor da farmacocinética durante o período basal.
# Vide itens Cuidados e Orientações e Interações Medicamentosas, para significância clínica.
* Aumentos elevados na AUC (até 1,5 vezes) e/ou Cmáx (até 0,71 vez) foram relatados com o consumo excessivo de suco de Grapefruit (? 750mL – 1,2 litro/dia).
** Amostra única administrada 8 – 16 h pós-dose.
† Devido ao mecanismo de dupla interação da rifampicina, é recomendada a coadministração simultânea de atorvastatina com rifampicina, visto que o atraso na administração de atorvastatina após administração de rifampicina foi associada a uma redução significativa das concentrações plasmáticas de atorvastatina.
‡ A dose de saquinavir e ritonavir neste estudo não é a dose usada clinicamente. O aumento da exposição à atorvastatina quando usada clinicamente provavelmente seja superior ao observado no presente estudo. Por isso cautela deve ser tomada e a menor dose necessária deve ser usada.
Tabela 6 – Efeito da atorvastatina na farmacocinética de medicamentos coadministrados

& Alteração = razão de alteração [(I-B)/B], onde I = valor da farmacocinética durante a fase de interação, e B = valor da farmacocinética durante a fase basal.
# Vide item Interações Medicamentosas, para significância clínica.
A atorvastatina não se mostrou carcinogênica em ratos. A dose máxima utilizada foi 63 vezes maior, em/kg de peso corpóreo, do que a dose máxima recomendada para humanos (80mg/dia) e de 8 a 16 vezes maior baseada nos valores de AUC(0-24). Em um estudo de 2 anos realizado com camundongos, as incidências de adenomas hepatocelulares em machos e de carcinomas hepatocelulares em fêmeas se mostraram aumentadas na dose máxima utilizada, que foi 250 vezes superior, em/kg de peso corpóreo, do que a dose máxima recomendada para humanos. A exposição sistêmica foi de 6 a 11 vezes superior, baseada na AUC (0-24).
Todos os outros fármacos quimicamente semelhantes desta classe induziram tumores em ratos e camundongos com doses de 12 a 125 vezes superiores à dose clínica máxima recomendada, baseada em/kg de peso corpóreo.
A atorvastatina não demonstrou potencial mutagênico ou clastogênico em 4 testes in vitro, com ou sem ativação metabólica, nem em 1 estudo in vivo. Apresentou-se negativa para o teste de Ames com Salmonella typhimurium e Escherichia coli e no ensaio in vitro de hipoxantina-guanina fosforibosiltransferase (HGPRT) forward mutation em células pulmonares de hamster chinês. Não produziu aumentos significantes em aberrações cromossômicas no ensaio in vitro com células pulmonares de hamster chinês e se apresentou negativa no teste in vivo de mouse micronucleus.
Não foi observado efeito adverso na fertilidade ou reprodução em ratos machos que receberam doses de atorvastatina de até 175mg/kg/dia ou em fêmeas que receberam doses de até 225mg/kg/dia. Estas doses são de 100 a 140 vezes superiores, em/kg de peso corpóreo, à dose máxima recomendada para humanos. A atorvastatina não causou efeito adverso nos parâmetros de esperma ou sêmen, ou na histopatologia do órgão reprodutivo em cães que receberam doses de 10mg/kg, 40mg/kg ou 120mg/kg por 2 anos.
Citalor deve ser conservado em temperatura ambiente (entre 15 e 30oC), protegido da luz e umidade.
Número de lote e datas de fabricação e validade: vide embalagem.
Não use medicamento com o prazo de validade vencido. Guarde-o em sua embalagem original.
Comprimido revestido elíptico de coloração branca com “10” gravado em um lado e “PD 155” do outro lado.
Comprimido revestido elíptico de coloração branca com “20” gravado em um lado e “PD 156” do outro lado.
Comprimido revestido elíptico de coloração branca com “40” gravado em um lado e “PD 157” do outro lado.
Comprimido revestido elíptico de coloração branca com “80” gravado em um lado e “PD 158” do outro lado.
Antes de usar, observe o aspecto do medicamento. Caso ele esteja no prazo de validade e você observe alguma mudança no aspecto, consulte o farmacêutico para saber se poderá utilizá-lo.
Todo medicamento deve ser mantido fora do alcance das crianças.
Venda sob prescrição médica.
MS – 1.0216.0062
Farmacêutica Responsável:
Carolina C. S. Rizoli - CRF-SP Nº 27071
Registrado por:
Laboratórios Pfizer Ltda.
Rodovia Presidente Castelo Branco, Km 32,5 CEP 06696-000 - Itapevi – SP
CNPJ nº 46.070.868/0036-99
Fabricado e Embalado por:
Wyeth Indústria Farmacêutica Ltda.
Rodovia Presidente Castelo Branco, Km 32,5 CEP 06696-000 - Itapevi – SP
Indústria Brasileira.
Fabricado por:
Pfizer Pharmaceuticals LLC Vega Baja – Porto Rico
Embalado por:
Pfizer Manufacturing Deutschland GmbH - Betriebsstätte Freiburg Freiburg – Alemanha
Importado por:
Wyeth Indústria Farmacêutica Ltda.
Rodovia Presidente Castelo Branco, Km 32,5 CEP 06696-000 - Itapevi – SP
Comparar preços de remédios e medicamentos no CliqueFarma é rápido e simples.
O CliqueFarma, é uma ferramenta para comparativo de preços de produtos farmacêuticos. Não comercializamos, não indicamos, não receitamos, nenhum tipo de medicamento essa função cabe exclusivamente a médicos e farmacêuticos. Não consuma qualquer tipo de medicamento sem consultar seu médico.SE PERSISTIREM OS SINTOMAS, O MÉDICO DEVERÁ SER CONSULTADO. PROCURE UM MÉDICO E O FARMACÊUTICO. LEIA A BULA.
Ainda com dúvidas?Conheça nossos Termos de Uso