
RReferência
Xalkori (crizotinibe) é indicado para o tratamento de câncer de pulmão não pequenas células (CPCNP) avançado positivo para quinase de linfoma anaplásico (ALK).
Xalkori inibe o crescimento do tumor que apresente alterações moleculares no receptor de tirosina quinase ALK.
Depois que você ingere a cápsula de Xalkori, a medicação é absorvida e atinge a quantidade máxima no sangue entre 4 e 6 horas. Após 15 dias de uso é atingido um estado de equilíbrio da quantidade de medicação no seu sangue.
Estudos clínicos demonstraram que o tempo mediano para ocorrer resposta tumoral variou de 6,1 a 7,7 semanas nos pacientes que receberam Xalkori para tratamento de câncer de pulmão não pequenas células avançado ALK positivo.
Xalkori é contraindicado a pacientes com hipersensibilidade ao crizotinibe ou a qualquer outro componente da fórmula.
O uso de Xalkori é contraindicado em pacientes com insuficiência hepática grave.
Para que o Xalkori seja indicado para você é necessário que seja realizado um exame no seu tumor para detectar se ele é do tipo “não-pequenas células” (CPNPC) e é positivo para ALK. Xalkori só mostra benefícios nestes pacientes.
Este exame deve ser realizado por laboratórios com proficiência comprovada na tecnologia específica utilizada. Execução inadequada do ensaio, falhas técnicas ou erros do operador durante a execução do teste pode levar a resultados inválidos.
A dose recomendada de Xalkori é de 250 mg tomada pela boca duas vezes ao dia. Enquanto você estiver tendo benefícios com Xalkori, seu tratamento será continuado. Xalkori pode ser tomado com ou sem alimento. As cápsulas devem ser engolidas inteiras.
A interrupção e/ou redução da dose pode ser requerida com base na segurança e tolerabilidade individuais. Seu médico deve orientá-lo quanto à dose adequada, caso ele decida modificá-la.
O tratamento com Xalkori deve ser usado com cuidado em pacientes com insuficiência hepática leve e moderada. Xalkori não deve ser utilizado em pacientes com insuficiência hepática grave.
Não é necessário ajuste na dose inicial para pacientes com insuficiência renal leve e moderada.
A segurança e a eficácia do Xalkori em crianças não foram estabelecidas.
Não é necessário ajuste na dose inicial.
Siga a orientação de seu médico, respeitando sempre os horários, as doses e a duração do tratamento.
Não interrompa o tratamento sem o conhecimento do seu médico.
Este medicamento não deve ser partido, aberto ou mastigado.
Se uma dose de Xalkori for esquecida, ela deve ser tomada tão logo você se lembre, a não ser que tenha menos de 6 horas até a próxima dose. Nesse caso, você não deve tomar a dose esquecida. Você não deve tomar 2 doses ao mesmo tempo para compensar a dose esquecida.
Em caso de dúvidas, procure orientação do farmacêutico ou de seu médico, ou cirurgião-dentista.
Xalkori pode ser tóxico para o fígado. Seu médico deve solicitar exames para verificar a função do fígado pelo menos uma vez por mês.
Xalkori pode causar inflamação nos pulmões. Seu médico deve ficar atento para sintomas pulmonares que você possa apresentar. O tratamento deve ser interrompido permanentemente se ocorrer essa inflamação (pneumonite).
Xalkori pode causar arritmia. Deve-se ter cuidado ao administrar Xalkori a pacientes com histórico de arritmias ou que estejam tomando medicamentos que são conhecidos por prolongar o intervalo QT (característica do exame de eletrocardiograma). Ao usar Xalkori nestes pacientes, deve ser considerado o monitoramento periódico com eletrocardiograma e exames de sangue. Se ocorrerem alterações nos exames, pode ser necessário alterar a dosagem.
Bradicardia foi relatada em estudos clínicos e foi geralmente assintomática. O efeito total de Xalkori na frequência de pulso pode não se desenvolver até várias semanas após o início do tratamento. Evite o uso de Xalkori em combinação com outros agentes bradicárdicos (como por exemplo, beta-bloqueadores, não di- hidropiridinas bloqueadoras do canal de cálcio como verapamil, diltiazem, clonidina e digoxina) na medida do possível, devido ao risco aumentado de bradicardia sintomática (síncope, tonturas, hipotensão). É recomendada a monitorização mensal da frequência de pulso e da pressão arterial. A modificação da dose não é necessária nos casos de bradicardia assintomática. Em casos de bradicardia sintomática, Xalkori deve ser mantido e o uso de medicações concomitantes deve ser reavaliado.
Em estudos clínicos com Xalkori e durante o período pós-comercialização foram relatados eventos adversos graves, com risco de vida ou fatais de insuficiência cardíaca.
Pacientes com ou sem distúrbios cardíacos preexistentes recebendo Xalkori devem ser monitorados para os sinais e sintomas de insuficiência cardíaca (falta de ar, edema (inchaço), ganho rápido de peso decorrente de retenção de líquidos). Interrupção da dose, redução da dose ou descontinuação devem ser consideradas quando apropriadas se tais sintomas forem observados.
Em estudos clínicos, as reações adversas mais graves em pacientes com CPNPC avançado positivo para ALK são hepatoxicidade (toxicidade no fígado), doença pulmonar intersticial/pneumonite (inflamação nos pulmões) e prolongamento de intervalo QT. As reações adversas mais comuns (?25%) em pacientes com CPNPC positivo para ALK são distúrbio visual, náuseas, diarreia, vômito, edema (inchaço), constipação, transaminases (enzimas do fígado) elevadas, diminuição do apetite, fadiga, tontura e neuropatia.
As reações adversas ao Xalkori estão listadas a seguir:
Neutropenia (diminuição de um tipo de células de defesa no sangue: neutrófilos), anemia, leucopenia (redução de células de defesa no sangue), diminuição do apetite, neuropatia (doença que afeta um ou vários nervos), tontura, disgeusia (alteração do paladar), distúrbio visual, bradicardia (diminuição do número de batimentos cardíacos), vômitos, diarreia, náusea, constipação, transaminases (enzimas do fígado) elevadas, erupção cutânea (lesão na pele), fadiga (cansaço), edema (inchaço).
Hipofosfatemia (diminuição da concentração de fosfato no sangue), insuficiência cardíaca (função cardíaca comprometida), prolongamento no intervalo QT do eletrocardiograma (anormalidades no teste de eletrocardiograma, que avalia a função cardíaca), síncope (desmaio), doença pulmonar intersticial (inflamação dos pulmões), dispepsia (má digestão), fosfatase alcalina no sangue aumentada (enzima encontrada em vários órgãos e tecidos), cisto renal, creatinina sanguínea aumentada (exame laboratorial que testa a função dos rins).
Perfuração gastrointestinal (perfuração em região gástrica ou intestinal), insuficiência hepática (prejuízo da função do fígado).
Atenção: Este produto é um medicamento novo e, embora as pesquisas tenham indicado eficácia e segurança aceitáveis, mesmo que indicado e utilizado corretamente, podem ocorrer eventos adversos imprevisíveis ou desconhecidos. Nesse caso, informe seu médico ou cirurgião-dentista.
Pode haver comprometimento da fertilidade masculina e feminina pelo tratamento com Xalkori.
Xalkori pode causar dano fetal quando administrado a uma mulher grávida, embora isso não tenha acontecido em estudos realizados em animais e nem tenham sido realizados estudos em mulheres grávidas usando Xalkori.
Desta forma, homens e mulheres em idade fértil que estejam em tratamento com Xalkori devem utilizar métodos contraceptivos eficazes durante todo o tratamento e por pelo menos 90 dias após a conclusão do tratamento com Xalkori. Se a paciente ou a parceira do paciente ficar grávida durante este período, consulte o médico.
Este medicamento não deve ser utilizado por mulheres grávidas sem orientação médica. Informe imediatamente seu médico em caso de suspeita de gravidez.
Não se sabe se o Xalkorie os seus metabólitos são excretados no leite humano.
Não foi realizado nenhum estudo sobre o efeito de Xalkori na habilidade para dirigir e operar máquinas. Contudo, deve-se ter precaução ao dirigir ou operar maquinários por pacientes que sentirem alteração visual, tontura ou fadiga enquanto estiverem tomando Xalkori.
Atenção: este medicamento contém açúcar, portanto, deve ser usado com cautela em portadores de diabetes.
Crizotinibe: 200mg ou 250mg respectivamente.
Excipientes: dióxido de silício coloidal, celulose microcristalina, fosfato de cálcio dibásico anidro, amidoglicolato de sódio, estearato de magnésio, cápsula de gelatina dura (gelatina, dióxido de titânio e óxido férrico vermelho) e tinta de impressão preta (goma laca, propilenoglicol, solução concentrada de amônia, hidróxido de potássio e óxido férrico preto).
O tratamento de superdose com Xalkori deve consistir em medidas de suporte em geral. Não há antídoto para Xalkori.
Em caso de uso de grande quantidade deste medicamento, procure rapidamente socorro médico e leve a embalagem ou bula do medicamento, se possível. Ligue para 0800 722 6001 se você precisar de mais orientações.
O crizotinibe é um substrato de CYP3A4/5 e também um inibidor moderado de CYP3A. Estudos in vitro nos microssomos de fígado humano demonstraram que o crizotinibe é um inibidor de CYP3A tempo-dependente.
A coadministração de crizotinibe com inibidores fortes de CYP3A pode aumentar as concentrações plasmáticas de crizotinibe.
O uso concomitante de inibidores fortes de CYP3A, incluindo, mas não limitado a atazanavir, claritromicina, indinavir, itraconazol, cetoconazol, nefazodona, nelfinavir, ritonavir, saquinavir, telitromicina, troleandomicina e voriconazol, deve ser evitado. Toranja (grapefruit) ou suco de toranja podem também aumentar as concentrações plasmáticas de crizotinibe e devem ser evitados.
A coadministração de crizotinibe com indutores fortes de CYP3A pode diminuir as concentrações plasmáticas de crizotinibe. O uso concomitante de indutores fortes de CYP3A, incluindo, mas não limitado a carbamazepina, fenobarbital, fenitoína, rifabutina, rifampicina e erva de São João deve ser evitado.
O crizotinibe foi identificado como um inibidor de CYP3A tanto in vitro como in vivo. Deve ser exercida precaução ao administrar o crizotinibe em combinação com medicamentos que são predominantemente metabolizados pela CYP3A, particularmente aqueles substratos de CYP3A que têm índices terapêuticos estreitos, incluindo, mas não limitado a alfentanila, ciclosporina, fentanila, quinidina, sirolimo e tacrolimo.
Deve-se evitar a coadministração de crizotinibe com substratos de CYP3A que têm índices terapêuticos estreitos e são associados com arritmias com risco de morte, incluindo, mas não se limitando a diidroergotamina, ergotamina e pimozida.
Os substratos de CYP3A astemizol, cisaprida e terfenadina devem ser evitados, por terem índices terapêuticos estreitos e terem sido associados com arritmias com risco de morte.
Bradicardia foi relatada em estudos clínicos e foi geralmente assintomática. O efeito completo de crizotinibe sobre a frequência de pulso pode não se desenvolver até várias semanas após o início do tratamento.
Evitar o uso de crizotinibe em combinação com outros agentes bradicárdicos (por exemplo, beta-bloqueadores, bloqueadores do canal de cálcio não-diidropiridona tais como verapamil e diltiazem, clonidina, digoxina) na medida do possível, devido ao risco aumentado de bradicardia sintomática (síncope, tonturas, hipotensão).
É recomendado monitorar a frequência de pulso e pressão arterial mensalmente. A modificação da dose não é necessária nos casos de bradicardia assintomática. Em casos de bradicardia sintomática, crizotinibe deve ser mantido e o uso de medicação concomitante deve ser reavaliado.
A segurança e a eficácia do crizotinibe em pacientes pediátricos não foram estabelecidas. Diminuição da formação óssea no crescimento de ossos grandes foi observada em ratos imaturos com 150 mg/kg/dia, seguindo uma dosagem diária por 28 dias (aproximadamente 3 vezes a exposição clínica humana baseada em AUC). Outras toxicidades em potencial com relação à pacientes pediátricos não foram avaliadas em animais jovens.
O uso de crizotinibe como agente único para o tratamento de primeira linha de CPNPC avançado positivo para ALK, em pacientes com ou sem metástases cerebrais, foi investigado em um estudo multicêntrico, multinacional, aberto e randomizado de Fase 3, o Estudo 1014.
O objetivo primário deste estudo foi demonstrar que crizotinibe é superior ao tratamento quimioterápico padrão de primeira linha baseado em platina (pemetrexede-cisplatina ou pemetrexede-carboplatina) no prolongamento da Sobrevida Livre de Progressão (SLP), avaliada por revisão radiológica independente (RRI) em pacientes com CPNPC avançado positivo para ALK que não receberam tratamento sistêmico prévio para a doença avançada. Os objetivos secundários foram comparar as medidas da eficácia clínica, incluindo a Taxa de Resposta Objetiva (TRO) avaliada por RRI, Duração da Resposta (DR), Sobrevida Global (SG), Tempo para a Progressão Intracraniana (TPP-IC) avaliada por RRI e Resultados Relatados pelo Paciente (RRP).
análise populacional completa do Estudo 1014 incluiu 343 pacientes com CPNPC avançado positivo para ALK identificado pela Hibridização in situ por fluorescência (FISH) antes da randomização. Cento e setenta e dois (172) pacientes foram randomizados para o braço crizotinibe (171 pacientes receberam 250 mg de crizotinibe por via oral duas vezes ao dia) e 171 pacientes foram randomizados para o braço quimioterapia (169 pacientes receberam quimioterapia; 91 pacientes foram tratados com pemetrexede/cisplatina e 78 pacientes foram tratados com pemetrexede/carboplatina).
A quimioterapia consistiu em pemetrexede 500 mg/m2 em combinação com cisplatina 75 mg/m2 ou carboplatina na dose calculada, para produzir uma AUC de 5 ou 6 mg min/mL. A quimioterapia foi administrada por infusão intravenosa a cada 3 semanas por até 6 ciclos. A duração mediana de tratamento do estudo foi de 47 semanas no braço crizotinibe e 18 semanas no braço quimioterapia. Os pacientes poderiam continuar o tratamento com crizotinibe além do tempo de progressão de doença definida por Critério de Avaliação de Resposta em Tumores Sólidos (RECIST) , conforme avaliado por RRI, a critério do investigador, caso o paciente ainda estivesse experimentando benefício clínico.
Os pacientes no braço quimioterapia que completaram os 6 ciclos deveriam continuar no estudo sem tratamento adicional, mas fazer avaliações contínuas dos tumores até a progressão da doença definida por RECIST, conforme determinado pela RRI. Os pacientes no braço quimioterapia que tiveram a progressão da doença definida por RECIST e avaliada pela RRI tiveram a opção de receber crizotinibe. Cento e vinte (70%) pacientes receberam crizotinibe após a fase de randomização (109 pacientes por meio do processo de crossover e 11 pacientes como terapia de acompanhamento).
A randomização foi estratificada pelo estado de desempenho do Eastern Cooperative Oncology Group (ECOG)(0 - 1 vs 2), raça (asiático versus não asiático) e metástases cerebrais (presentes versus ausente).
ados demográficos basais e as características da doença foram semelhantes entre os braços de tratamento crizotinibe e quimioterapia com relação ao gênero (feminino: 61% vs 63%; para crizotinibe vs quimioterapia, respectivamente), idade mediana (52 anos vs 54 anos), raça (caucasiano: 53% vs 50%, e asiático: 45% vs 47%); status de tabagismo (fumantes atuais: 6% vs 3%, ex-fumantes: 33% vs 32% e que nunca fumaram: 62% vs 65%), doença metastática (98% em ambos os braços de tratamento), histologia do tumor (adenocarcinoma: 92% vs 93%), estado de desempenho (ECOG 0 ou 1: 94% vs 95%, e ECOG 2: 6% vs 5%) e metástases cerebrais (presentes 26% vs 28%).
O crizotinibe prolongou significativamente a SLP em comparação com a quimioterapia, conforme avaliado por RRI. Os dados de Sobrevida Global (SG) não estavam maduros no momento da análise da SLP. Os dados de eficácia do Estudo 1014 randomizado Fase 3 estão resumidos na Tabela 1, e a curva de Kaplan-Meier para SLP está ilustrada na Figura 1.
Tabela 1. Resultados de Eficácia do Estudo 1014 Randomizado de Fase 3 (Análise Populacional Completa) em Pacientes com CPNPC Avançado Positivo para ALK Não Tratado Previamente
|
Parâmetro da resposta | Crizotinibe (N=172) |
Quimioterapia (N=171) |
|
Sobrevida Livre de Progressão (Baseada na RRI) | ||
|
Número com evento, n (%) | 100% (58%) |
137 (80% |
|
SLP mediana em meses (95% IC) | 10,9 (8,3, 13,9) |
7,0a (6,8, 8,2) |
|
HR(95% IC)b |
0,45 (0,35, 0,60) | |
|
Valor-pc |
< 0,0001 | |
|
Sobrevida Globald | ||
|
Número de mortes, n (%) | 44 (26%) |
46 (27%) |
|
SG mediana em meses (95% IC) | NA |
NA |
|
HR (95% IC)b |
0,82 (0,54, 1,26) | |
|
Valor-pc |
0,1804 | |
|
Probabilidade de sobrevida em 12 meses,d % (95% IC) | 83,5 (76,7, 88,5) |
78,6 (71,3, 84,2) |
|
Probabilidade de sobrevida em 18 meses,d % (95% IC) | 68,6 (59,5, 76,1) |
67,3 (58,1, 74,9) |
|
Taxa de Resposta Objetiva (baseada na RRI) | ||
|
Taxa de resposta objetiva % (95% IC) | 74% (67, 81) |
45%e (37, 53) |
|
Valor-p f |
< 0,0001 | |
|
Duração da resposta | ||
|
Mesesg (95% IC) | 11,3 (8,1, 13,8) |
5,3 (4,1, 5,8) |
|
Tempo de Resposta Tumoral, semanas | ||
|
n | 128 |
77 |
|
Mediana | 6,1 |
12,1 |
|
Variação | 2,7-41 |
5,1-36,7 |
Abreviações: N/n = número de pacientes; IC = intervalo de confiança; HR = hazard ratio ou taxa de risco; RRI = revisão radiológica independente; NA = não alcançado; SLP = sobrevida livre de progressão; SG = sobrevida global.
a. Tempos da SLP mediana foram 6,9 meses (95% IC: 6,6, 8,3) para pemetrexede/cisplatina (HR = 0,49; valor-p < 0,0001 para crizotinibe em comparação com pemetrexede/cisplatina) e 7,0 meses (95% IC: 5,9; 8,3) para pemetrexede/carboplatina (HR = 0,45; valor-p <0,0001 para crizotinibe em comparação com pemetrexede/carboplatina).
b. Com base na análise de riscos proporcionais de Cox estratificada.
c. Com base no teste log-rank estratificado (unilateral).
d. A análise da SG não foi ajustada para os efeitos de crossover, que potencialmente geram confusão. e. TROs foram de 47% (95% IC: 37, 58) para pemetrexede/cisplatina (valor-p < 0,0001 em comparação com crizotinibe) e 44% (95% IC: 32, 55) para pemetrexede/carboplatina (valor-p < 0,0001 em comparação com crizotinibe).
f. Com base no teste de Cochran-Mantel-Haenszel estratificado (bilateral). g. Estimativa utilizando o método Kaplan-Meier.
Figura 1. Curvas de Kaplan-Meier para a Sobrevida Livre de Progressão (Baseada na RRI) por Braço de Tratamento no Estudo 1014 Randomizado de Fase 3 (Análise Populacional Completa) em pacientes com CPNPC Avançado Positivo para ALK Não Tratado Previamente

Com base na RRI, um total de 9 (23,1%) dos 39 pacientes no braço crizotinibe e 12 (30,0%) dos 40 pacientes no braço quimioterapia, com metástases cerebrais basais tratadas previamente, apresentaram progressão das lesões intracranianas ou desenvolveram novas lesões intracranianas. Para os pacientes com metástases cerebrais basais tratadas previamente, o TPP intracraniano mediano (TPP-IC) foi de 15,7 meses no braço crizotinibe e de 12,5 meses no braço quimioterapia (HR = 0,45 [95% IC: 0,19; 1,07]; unilateral valor-p = 0,0315).
Um total de 16 (12,1%) dos 132 pacientes no braço crizotinibe e 14 (10,7%) dos 131 pacientes no braço quimioterapia, sem metástases cerebrais basais, desenvolveram novas lesões intracranianas. Para pacientes sem metástases cerebrais basais, o TPP-IC mediano não foi alcançado nos braços crizotinibe ou quimioterapia (HR = 0,69 [95% IC: 0,33; 1,45]; unilateral valor-p = 0,1617).
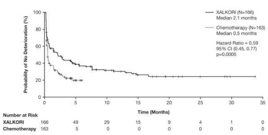
Os sintomas relatados pelo paciente e a Qualidade de Vida (QoL) global foram coletadas com o EORTC QLQC30 e seu módulo de câncer de pulmão (EORTC QLQ-LC13) no valor basal (Dia 1), Dia 7 e Dia 15 do ciclo 1 e no Dia 1 de cada ciclo de tratamento subsequente. Um total de 166 pacientes no braço crizotinibe e 163 pacientes no braço quimioterapia preencheram o EORTC QLQ-C30 e os questionários LC-13 basais e pelo menos uma visita pós-basal.
O tempo até a deterioração (TTD) foi pré-especificado como o tempo desde a randomização até a primeira ocorrência de um aumento de ?10 pontos na escala basal, nos sintomas de dor (EORTC QLQ-LC13 dor no peito), tosse (EORTC QLQ-LC13 tosse) ou dispneia (EORTC QLQ-LC13 dispneia). O TTD mediano em dor no peito, dispneia ou tosse relatados pelo paciente, como um desfecho composto, foi de 2,1 meses (95% IC: 0,8 mês, 4,2 meses) no braço crizotinibe, comparado com 0,5 mês (95% IC: 0,4 mês, 0,7 mês) no braço quimioterapia. O tratamento com crizotinibe foi associado a um TTD significativamente maior nos sintomas de dor no peito, dispneia ou tosse, em comparação com a quimioterapia (taxa de risco 0,59; 95% IC: 0,45; 0,77; bilateral, baseado no teste log-rank ajustado para Hochberg valor-p = 0,0005).
Figura 2. Curvas de Kaplan-Meier do Tempo até a Deterioração da Dor (no Peito), Dispneia ou Tosse (desfecho composto) por Braço de Tratamento (Resultados Relatados pelo Paciente na População Avaliável) em Pacientes com CPNPC Avançado Positivo para ALK não Tratado Previamente

A mudança em relação às escalas basais foi considerada significativamente diferente entre os 2 braços de tratamento, com uma melhoria significativamente maior observada na qualidade global de vida no braço crizotinibe, quando comparado com o braço quimioterapia (diferença geral na mudança em relação às escalas basais 13,8: valor-p < 0,0001).
O uso de crizotinibe como agente único para o tratamento de CPNPC avançado positivo para ALK com ou sem metástases cerebrais foi investigado em um estudo multicêntrico, multinacional, aberto e randomizado de Fase 3, (Estudo 1007). O objetivo primário deste estudo foi demonstrar que o crizotinibe 250 mg via oral, duas vezes ao dia é superior ao tratamento quimioterápico padrão (pemetrexede 500 mg/m2 ou docetaxel 75 mg/m2 ) intravenoso (IV) a cada 21 dias, no prolongamento da Sobrevida Livre de Progressão (SLP) em pacientes com CPNPC avançado positivo para ALK que haviam recebido 1 regime prévio de quimioterapia.
Foi exigido que os pacientes tivessem CPNPC com ALK positivo, conforme identificado por Hibridização in situ por fluorescência (FISH) antes da randomização. Os pacientes randomizados para a quimioterapia poderiam ser “cruzados” para receber crizotinibe no Estudo 1005 na progressão da doença definida pelo RECIST, confirmados pela revisão radiológica independente (RRI). O desfecho primário de eficácia foi SLP com eventos de progressão de doença determinados por RRI. Os desfechos secundários incluíram TRO avaliada por RRI, DR, SG e RRP.
A análise populacional para o Estudo 1007 incluiu 347 pacientes com CPNPC avançado positivo para ALK. Cento e setenta e três (173) pacientes foram randomizados para o braço do crizotinibe (172 pacientes receberam crizotinibe) e 174 pacientes foram randomizados para o braço quimioterapia (99 pacientes [58%] receberam pemetrexede e 72 pacientes [42%] receberam docetaxel).
A randomização foi estratificada pelo estado de desempenho ECOG (0-1, 2), metástase cerebral (presente, ausente) e tratamento prévio com inibidor de tirosina quinase do EGFR (sim, não). A duração mediana de tratamento do estudo foi de 31 semanas no braço crizotinibe comparado com 12 semanas no braço quimioterapia.
Os pacientes poderiam continuar o tratamento, conforme designado, além do tempo de progressão de doença definido por RECIST, conforme avaliado por RRI, a critério do investigador, caso o paciente ainda estivesse experimentando benefício clínico. Cinquenta e oito dos 84 (69%) pacientes tratados com crizotinibe e 17 dos 119 (14%) tratados com quimioterapia continuaram o tratamento por pelo menos 3 semanas após a progressão objetiva da doença.
Os dados demográficos basais e as características da doença para pacientes neste estudo foram semelhantes entre os braços crizotinibe e quimioterapia com relação ao gênero (feminino: 57% vs 55%; para crizotinibe vs quimioterapia, respectivamente), idade mediana (51 anos vs 49 anos), raça (caucasiano: 52% em ambos os braços de tratamento e asiático: 46% vs 45%), status de tabagismo (fumantes atuais: 3% vs 5%, ex-fumantes: 34% vs 31% e que nunca fumaram: 62% vs 64%), doença metastática (95% vs 91%), histologia do tumor (adenocarcinoma: 94% vs 92%), estado de desempenho (ECOG 0 ou 1: 89% vs 91%, ECOG 2: 11% vs 9%), e metástases cerebrais (presentes: 35% em ambos os braços de tratamento).
O crizotinibe prolongou significativamente a SLP em comparação com a quimioterapia, conforme avaliado por RRI. Os dados de eficácia do Estudo 1007 randomizado Fase 3 estão resumidos na Tabela 2 e a curva de KaplanMeier para SLP está ilustrada na Figura 3.
Tabela 2. Resultados de Eficácia do Estudo 1007 Randomizado de Fase 3 (Análise Populacional Completa) em Pacientes com CPNPC Avançado Positivo para ALK Tratados Previamente
|
Parâmetro da resposta | crizotinibe (N=173) |
Quimioterapia (N=174) |
|
Sobrevida Livre de Progressão (Baseada na RRI) | ||
|
Número com evento, n (%) | 100 (58%) |
127 (73%) |
|
SLP mediana em meses (95% IC) | 7,7 (6,0, 8,8) |
3,0a (2,6, 4,3) |
|
HR(95% IC)b |
0,49 (0,37, 0,64) | |
|
Valor-pc |
< 0,0001 | |
|
Sobrevida Globald | ||
|
Número de mortes, n (%) | 116 (67%) |
126 (72%) |
|
SG mediana em meses (95% IC) | 21,7 (18,9, 30,5) |
21,9 (16,8, 26,0) |
|
HR (95% IC)b |
0,85 (0,66, 1,10) | |
|
Valor-pc |
0,1145 | |
|
Taxa de Resposta Objetiva (Baseada na RRI) | ||
|
Taxa de Resposta Objetiva % (95% IC) | 65% (58, 72) |
20%e (14, 26) |
|
Valor-p f | <0,0001 | |
|
Duração da Resposta | ||
|
Medianag , meses (95% IC) | ||
|
Tempo de Resposta Tumoral, semanas | ||
|
n | 113 |
34 |
| Mediana | 6,3 |
12,6 |
|
Variação | 4,4-48,4 |
5,0-37,1 |
Abreviações: N/n = número de pacientes; IC = intervalo de confiança; HR = hazard ratio ou taxa de risco; RRI = revisão radiológica independente; SLP = sobrevida livre de progressão; SG = sobrevida global.
* SLP, Taxa de Resposta Objetiva e Duração da Resposta baseada na data de corte de dados de 30 de Março de 2012; SG é baseada na data de corte dos dados de 31 de Agosto de 2015.
a. Tempos da SLP mediana foram 4,2 meses (95% IC: 2,8, 5,7) para pemetrexede (HR = 0,59; valor-p = 0,0004 para crizotinibe em comparação com pemetrexede) e 2,6 meses (95% IC: 1,6; 4,0) para docetaxel (HR = 0,30; valor-p < 0,0001 para crizotinibe em comparação com docetaxel).
b. Com base na análise de riscos proporcionais de Cox estratificada.
c. Com base no teste log-rank estratificado (unilateral).
d. Atualização baseada na análise final da SG. A análise de SG não foi ajustada para potenciais efeitos de confusão do cross over.
e. TROs foram de 29% (95% IC: 21, 39) para pemetrexede (valor-p <0,0001 em comparação com crizotinibe) e 7% (95% IC: 2, 16) para docetaxel (valor-p <0,0001 em comparação com crizotinibe).
f. Com base no teste de Cochran-Mantel-Haenszel estratificado (bilateral). g. Estimativa utilizando o método Kaplan-Meier.
Figura 3. Curvas de Kaplan-Meier para Sobrevida Livre de Progressão (Baseada na RRI) por Braço de Tratamento no Estudo 1007 Randomizado de Fase 3 (Análise Populacional Completa) em Pacientes com CPNPC Avançado Positivo para ALK Tratados Previamente

Os sintomas relatados pelo paciente e a qualidade de vida (QoL) global foram coletados usando o EORTC QLQC30 e seu módulo de câncer de pulmão (EORTC QLQ-LC13) no valor basal (Dia 1 do Ciclo 1) e no Dia 1 de cada ciclo de tratamento subsequente. Um total de 162 pacientes no braço crizotinibe e 151 pacientes no braço quimioterapia preencheram o EORTC QLQ-C30 e os questionários LC13 basais e pelo menos uma visita pósbasal.
O TTD foi pré-especificado como o tempo desde a randomização até a primeira ocorrência de um aumento de ?10 pontos na escala basal, nos sintomas de dor (EORTC QLQ-LC13 dor no peito), tosse (EORTC QLQ-LC13 tosse) ou dispneia (EORTC QLQ-LC13 dispneia). O TTD mediano em dor no peito, dispneia ou tosse relatados pelo paciente, como um desfecho composto, foi de 4,5 meses (95% IC: 3,0 meses, 6,9 meses) no braço crizotinibe, comparado com 1,4 meses (95% IC: 1,0 mês, 1,6 meses) no braço quimioterapia. O tratamento com crizotinibe foi associado a um TTD significativamente maior nos sintomas de dor no peito, dispneia ou tosse, em comparação com a quimioterapia (taxa de risco 0,50; 95% IC: 0,37; 0,66; log-rank ajustado para Hochberg valor-p < 0,0001).
A mudança em relação às escalas basais foi considerada significativamente diferente entre os dois braços de tratamento, com uma melhoria significativamente maior observada na qualidade global de vida no braço crizotinibe, quando comparado com o braço quimioterapia (diferença total na mudança em relação às pontuações basais: 9,84, valor-p <0,0001).
Figura 4. Curvas de Kaplan-Meier do Tempo até a Deterioração da Dor (Torácica), Dispneia ou Tosse (Desfecho Composto) por Braço de Tratamento (Resultados Relatados pelo Paciente na População Avaliável) em Pacientes com CPNPC Avançado Positivo para ALK Tratados Previamente

O uso de crizotinibe como agente único no tratamento de CPNPC avançado positivo para ALK, com ou sem metástase cerebral, foi investigado em 2 estudos multicêntricos e multinacionais de braço único (Estudos 1001 e 1005). Os pacientes incluídos nesses estudos haviam recebido terapia sistêmica anterior, com exceção de 16 pacientes no Estudo 1001 e 3 pacientes no Estudo 1005, que não tiveram tratamento sistêmico anterior para doença avançada localmente ou metastática. O desfecho primário da eficácia em ambos os estudos foi o TRO de acordo com o RECIST. O desfecho secundário incluiu o Tempo até a Resposta Tumoral (TRT), DR, SLP e SG. Os pacientes receberam 250 mg de crizotinibe por via oral duas vezes por dia.
No Estudo 1001 (N = 119), as características demográficas foram 50% do sexo feminino; idade mediana de 51 anos; estado de desempenho no ECOG basal de 0 ou 1 (87%) ou 2 (12%), 62% caucasianos e 29% asiáticos; <1% fumantes atuais, 27% ex-fumantes e 72% nunca fumaram. As características da doença foram de 96% metastáticas, 98% histologia de adenocarcinoma e 13% com nenhuma terapia sistêmica prévia para a doença metastática.
No Estudo 1005 (N = 934), as características demográficas foram 57% do sexo feminino; idade mediana de 53 anos; estado de desempenho no ECOG basal de 0/1 (82%) ou 2/3 (18%), 52% caucasianos e 44% asiáticos; 4% fumantes atuais, 30% ex-fumantes e 66% nunca fumaram. As características da doença foram de 92% metastáticos, 94% histologia de adenocarcinoma.
No Estudo 1001, foi exigido que os pacientes com CPNPC avançado tivessem tumores positivos para ALK antes de entrarem no estudo clínico. O CPNPC positivo para ALK foi identificado usando uma série de ensaios de estudos clínicos locais. Cento e dezenove pacientes com CPNPC avançado positivo para ALK foram incluídos no Estudo 1001 no momento do corte de dados, para as análises de SLP e TRO. A duração mediana do tratamento foi de 32 semanas. Houve 2 respostas completas e 69 respostas parciais para um TRO de 61%. A DR mediana foi de 48 semanas. Cinquenta e cinco por cento das respostas tumorais objetivas foram alcançadas dentro das primeiras 8 semanas de tratamento. Os dados de SG do Estudo 1001 foram atualizados com base em 154 pacientes com CPNPC avançado positivo para ALK. A SG mediana no momento do corte de dados foi de 28,9 meses (95% IC: 21,1; 40,1).
No Estudo 1005, foi exigido que os pacientes com CPNPC avançado tivessem tumores positivos para ALK antes de entrarem no estudo clínico. Para a maioria dos pacientes, CPNPC para ALK positivo foi identificado por FISH. Novecentos e trinta e quatro pacientes com CPNPC avançado positivo para ALK foram tratados com crizotinibe no Estudo em 1005 no momento do corte de dados para as análises de SLP e TRO. A duração mediana de tratamento para esses pacientes foi de 23 semanas. Os pacientes poderiam continuar o tratamento, conforme designado, além do tempo de progressão de doença definido por RECIST a critério do investigador, caso a avaliação do risco/benefício justificasse a continuação do tratamento. Setenta e sete dos 106 pacientes (73%) continuaram o tratamento com crizotinibe por pelo menos 3 semanas após a progressão objetiva de doença.
Setecentos e sessenta e cinco pacientes com CPNPC avançado positivo para ALK do Estudo 1005 estavam avaliáveis para resposta e foram identificados pelo mesmo ensaio FISH utilizado no Estudo 1007 randomizado Fase 3. Houve 8 respostas completas e 357 respostas parciais para um TRO de 48%. A DR mediana foi de 47 semanas. Oitenta e três por cento das respostas de tumor objetivas foram alcançadas dentro das primeiras 12 semanas de tratamento. Os dados de SG do Estudo 1005 foram atualizados com base em 905 pacientes com CPNPC avançado positivo para ALK identificados pelo mesmo ensaio FISH utilizado no Estudo 1007 randomizado de Fase 3. A SG mediana no momento do corte de dados foi de 21,5 meses (95% IC: 19,3, 23,6).
Dados de eficácia dos Estudos 1001 e 1005 são fornecidos na Tabela 3.
Tabela 3. Resultados de Eficácia de CPNPC Avançado Positivo para ALK dos Estudos 1001 e 1005
|
Parâmetro de eficácia | Estudo 1001 |
Estudo 1005 |
|
N=119a |
N=765a | |
|
TROb [% (95% IC)] | 61 (52, 70) |
48 (44, 51) |
|
TRT [mediana (faixa)] semanas | 7,7 (4, 40) |
6,1 (3, 49) |
|
DRb [mediana (95% IC)] semanas | 48,1 (36, não alcançado) |
47,3 (36, 54) |
|
SLP [mediana (95% IC)] meses | 10,0 (8,2; 14,7) |
7,8 (6,9; 9,5)d |
| N=154e |
N=905e | |
|
Número de mortes, n (%) | 83 (54%) |
504 (56%) |
|
SGc [mediana (95% IC)] meses | 28,9 (21,1, 40,1) |
21,5 (19,3, 23,6) |
Abreviações: N/n = número de pacientes; IC = intervalo de confiança: TRO = taxa de resposta objetiva; TRT = tempo até a resposta tumoral; DR = duração da resposta; SLP = sobrevida livre de progressão; SG = sobrevida global.
a Por datas de corte de dados 15 de setembro de 2010 (Estudo 1001) e 15 de fevereiro de 2012 (Estudo de 1005).
b Três pacientes não estavam avaliáveis para resposta no Estudo 1001 e 42 pacientes não estavam avaliáveis para resposta no Estudo 1005.
c Estimativa utilizando o método Kaplan-Meier.
d Dados de SLP do Estudo 1005 incluíram 807 pacientes na análise populacional de segurança que foram identificados pelo ensaio FISH (por data de corte de dados 15 fevereiro de 2012).
e Por data de corte de dados 30 de novembro de 2013.
Dos 171 pacientes CPNPC avançado positivos para ALK tratados com crizotinibe no Estudo 1014 randomizado Fase 3, 22 (13%) tinham 65 anos ou mais, e dos 109 pacientes positivos para ALK tratados com crizotinibe que foram cruzados para o braço quimioterapia, 26 (24%) tinham 65 anos ou mais. Dos 172 pacientes positivos para ALK tratados com crizotinibe no Estudo 1007 randomizado Fase 3, 27 (16%) tinham 65 anos ou mais. Dos 154 e 1063 pacientes CPNPC avançado positivos para ALK nos estudos de braço único 1001e 1005, 22 (14%) e 173 (16%) tinham 65 anos ou mais, respectivamente. Em pacientes CPNPC avançado positivos para ALK, a frequência de reações adversas foi geralmente semelhante para pacientes < 65 anos de idade e pacientes com > 65 anos de idade, com a exceção de edema e constipação, que foram relatados com maior frequência no Estudo 1014 entre os pacientes tratados com crizotinibe com > 65 anos de idade. Não foram observadas diferenças gerais na eficácia em comparação com pacientes mais jovens.
O crizotinibe é uma molécula pequena, inibidor seletivo do receptor de tirosina quinase (RTK) ALK e suas variáveis oncogênicas (por exemplo, eventos de fusão ALK e mutações ALK selecionadas). O crizotinibe é também um inibidor do Receptor de Fator de Crescimento de Hepatócito (HGFR, c-Met) RTK, ROS1 (c-ros), e RTKs RON (Recepteur d’Origine Nantais). O crizotinibe demonstrou uma inibição dependente de concentração de atividade de quinase de ALK, ROS1 e c-Met em ensaios bioquímicos e fosforilação inibida e fenótipos dependentes de quinase modulados em ensaios baseados em célula.
O crizotinibe demonstrou uma potente e seletiva atividade inibitória do crescimento e apoptose induzida em linhas de células tumorais que apresentam eventos de fusão ALK (incluindo EML4-ALK e NPM-ALK), eventos de fusão ROS1, ou exibindo amplificação de ALK ou gene locus MET. O crizotinibe demonstrou eficácia antitumor, incluindo atividade antitumoral citorredutora acentuada, em ratos portadores de xenoenxertos de tumores que expressavam proteínas de fusão ALK. A eficácia antitumoral do crizotinibe foi dependente da dose e correlacionada com a inibição farmacodinâmica da fosforilação de proteínas de fusão ALK (incluindo proteína like 4 associada ao microtúbulo equinodermico (EML4)-ALK e nucleofosmina (NPM)-ALK) em tumores in vivo.
Após a administração oral de uma única dose em jejum, o crizotinibe é absorvido com tempo mediano para atingir concentrações de pico em 4 a 6 horas. Após 250 mg de crizotinibe duas vezes ao dia, o estado de equilíbrio foi atingido dentro de 15 dias e permaneceu estável com uma proporção de acumulação mediana de 4,8. A biodisponibilidade absoluta do crizotinibe demonstrou ser de 43% (faixa: 32% a 66%) seguindo a administração de uma única dose oral de 250 mg.
Uma alimentação rica em gordura reduziu área sob a curva de concentração plasmática em função do tempo desde o tempo zero até ao infinito (AUCinf) e concentração plasmática máxima observada (Cmáx) do crizotinibe em aproximadamente 14% quando fornecida uma única dose de 250 mg a voluntários saudáveis. O crizotinibe pode ser administrado com ou sem alimento.
O volume médio geométrico de distribuição (Vss) do crizotinibe foi 1772 L após a administração de uma dose intravenosa de 50 mg, indicando distribuição extensiva nos tecidos a partir do plasma.
A ligação do crizotinibe às proteínas do plasma humano in vitro é de 91% e independe da concentração do medicamento. Estudos in vitro sugeriram que o crizotinibe é um substrato para glicoproteína-P (GpP). A proporção de concentração plasma para sangue é de aproximadamente 1.
Estudos in vitro demonstraram que CYP3A4/5 foram as enzimas principais envolvidas na depuração metabólica do crizotinibe. As principais vias metabólicas em seres humanos foram oxidação do anel piperidina a lactama do crizotinibe e O-desalquilação com subsequente conjugação Fase 2 dos metabólitos da O-desalquilação. Estudos in vitro nos microssomos do fígado humano demonstraram que o crizotinibe é um inibidor de CYP2B6 e CYP3A dependente de tempo.
Após doses únicas de crizotinibe, a meia-vida terminal aparente do plasma do crizotinibe foi de 42 horas nos pacientes.
Seguindo a administração de uma única dose de crizotinibe radiomarcada de 250 mg em indivíduos saudáveis, 63% e 22% da dose administrada foi recuperada nas fezes e urina, respectivamente. O crizotinibe inalterado representou aproximadamente 53% e 2,3% da dose administrada nas fezes e urina, respectivamente. A depuração média aparente (CL/F) do crizotinibe foi inferior no estado de equilíbrio (60 L/h) após 250 mg duas vezes ao dia do que após uma única dose via oral de 250 mg (100 L/h), o que provavelmente foi devido a autoinibição de CYP3A pelo crizotinibe após dosagem múltipla.
O crizotinibe foi identificado como um inibidor de CYP3A tanto in vitro como in vivo. Após 28 dias de crizotinibe 250 mg tomado duas vezes ao dia por pacientes com câncer, a AUCinf de midazolam oral foi de 3,7 vezes (90% IC: 2,63-5,07) em comparação àquela vista quando o midazolam foi administrado sozinho, sugerindo que o crizotinibe é um inibidor moderado de CYP3A.
A coadministração de crizotinibe (250 mg uma vez por dia) com itraconazol (200 mg uma vez ao dia), um forte inibidor de CYP3A, resultou em aumento de 57% e 33% na área de estado de equilíbrio estável de crizotinibe sob a curva de concentração plasmática em função do tempo zero até a hora da próxima dose (tau), o intervalo de dosagem (AUCtau) e Cmax, respectivamente, em comparação com quando o crizotinibe foi administrado sozinho.
A coadministração de crizotinibe (250 mg duas vezes ao dia) com rifampina (600 mg uma vez ao dia), um forte indutor de CYP3A, resultou em 84% e 79% de diminuição na AUCtau e Cmáx do crizotinibe no estado de equilíbrio, respectivamente, comparado a quando o crizotinibe foi tomado sozinho.
A solubilidade aquosa do crizotinibe é dependente do pH, com pH baixo (ácido) resultando em maior solubilidade. A administração de uma única dose de 250 mg de crizotinibe após tratamento com 40 mg de esomeprazol uma vez ao dia durante 5 dias resultou em aproximadamente 10% da diminuição da exposição total de crizotinibe (AUCinf) e nenhuma mudança na exposição em pico (Cmáx); a extensão da mudança da exposição total não foi clinicamente significativa. Portanto, o ajuste da dose inicial não é necessário quando o crizotinibe é coadministrado com agentes que aumentam o pH gástrico (como inibidores de bomba de prótons, bloqueadores de H2, ou antiácidos).
Estudos in vitro indicaram que é improvável a ocorrência de interações clínicas medicamento-medicamento como resultado da inibição mediada por crizotinibe do metabolismo de medicamentos que são substratos para CYP1A2, CYP2C8, CYP2C9, CYP2C19 ou CYP2D6.
O crizotinibe é um inibidor de CYP2B6 in vitro. Contudo, o crizotinibe pode ter potencial para aumentar as concentrações plasmáticas de medicamentos coadministrados que são predominantemente metabolizados por CYP2B6. Estudos in vitro em hepatócitos humanos indicaram que é improvável a ocorrência de interações clínicas medicamento-medicamento como resultado da indução mediada por crizotinibe do metabolismo de medicamentos que são substratos para CYP1A2, CYP2B6, CYP2C8, CYP2C9, CYP2C19 ou CYP3A.
Estudos in vitro indicaram que é improvável a ocorrência de interações clínicas medicamento-medicamento como resultado da inibição mediada por crizotinibe do metabolismo de medicamentos que são substratos para uridina difosfato glucuronosiltransferase (UGT)1A1, UGT1A4, UGT1A6, UGT1A9 ou UGT2B7.
O crizotinibe é um inibidor da glicoproteína-P (GpP) in vitro. Contudo, o crizotinibe pode ter o potencial para aumentar as concentrações plasmáticas de medicamentos coadministrados que são substratos de GpP.
O crizotinibe é um inibidor de OCT1 e OCT2 in vitro. Portanto, o crizotinibe pode ter o potencial de aumentar as concentrações plasmáticas de medicamentos coadministrados que são substratos de OCT1 ou OCT2.
In vitro, o crizotinibe não inibiu as proteínas de transporte de captação hepática em humanos polipeptídeo transportador de ânion orgânico (OATP)1B1 ou OATP1B3, ou as proteínas de transporte de captação renal transportador de ânions orgânicos (OAT)1 ou OAT3 em concentrações clinicamente relevantes. Contudo, as interações clínicas medicamento-medicamento são improváveis de ocorrer como resultado da inibição mediada por crizotinibe da captação hepática ou renal de medicamentos que são substratos para estes transportadores.
In vitro, o crizotinibe não é um inibidor de BSEP (bomba de exportação do sal da bile) em concentrações clinicamente relevantes.
Como o crizotinibe é extensivamente metabolizado no fígado, é provável que a insuficiência hepática aumente as concentrações plasmáticas de crizotinibe. Contudo, o crizotinibe não foi estudado em pacientes com insuficiência hepática. Estudos clínicos que foram realizados excluíram pacientes com ALT ou AST > 2,5 x LSN ou, se devido à malignidade subjacente, > 5,0 x LSN ou com bilirrubina total > 1,5 x LSN.A análise farmacocinética da população, usando os dados desses estudos, indicou que os níveis basais de bilirrubina total ou AST não tiveram um efeito clinicamente significativo na farmacocinética do crizotinibe.
Pacientes com insuficiência renal leve (60 ? CLcr < 90 mL/min) e moderada (30 ? CLcr < 60 mL/min) foram incluídos nos Estudos 1001 e 1005 de braço único. O efeito da função renal, medida pelo clearance basal de crizotinibe (CLcr) observado em concentrações mínimas no estado equilíbrio (Ctrough, ss) foi avaliado. No Estudo 1001, as médias geométricas ajustadas de Ctrough, ss no plasma de pacientes com insuficiência renal leve (N=35) e moderada (N=8) foram mais altas 5,1% e 11%, respectivamente, do que em pacientes com funções renais normais.
No Estudo 1005, as médias geométricas ajustadas Ctrough, ss de crizotinibe em grupos com insuficiência renal leve (N=191) e moderada (N=65) foram mais altas 9,1% e 15%, respectivamente, que em pacientes com funções renais normais. Além disso, a análise da farmacocinética populacional dos Estudos 1001, 1005 e 1007 indicou que o CLcr não teve um efeito clinicamente significativo na farmacocinética do crizotinibe.
Devido aos pequenos aumentos na exposição de crizotinibe (5%-15%), nenhum ajuste de dose inicial é recomendado a pacientes com insuficiência renal leve ou moderada. Após uma dose única de 250 mg em indivíduos com insuficiência renal grave (CLcr < 30 mL/min) não necessitando de diálise peritoneal ou hemodiálise, o AUCinf e o Cmáx do crizotinibe aumentaram em 79% e 34%, respectivamente, em comparação com aqueles com função renal normal. Recomenda-se um ajuste da dose de crizotinibe, ao administrá-lo em pacientes com insuficiência renal grave não submetidos à diálise peritoneal ou hemodiálise.
Com base na análise da farmacocinética populacional dos Estudos 1001, 1005 e 1007, a idade não possui nenhum efeito na farmacocinética do crizotinibe.
Com base na análise da farmacocinética populacional dos Estudos 1001, 1005 e 1007, não houve efeito clinicamente significativo do peso corporal ou gênero na farmacocinética do crizotinibe.
Com base na análise da farmacocinética populacional dos Estudos 1001, 1005 e 1007, a área sob curva da concentração plasmática em função do tempo no estado de equilíbrio estável (AUCss) (95% IC) prevista foi 23%-37% mais alto em pacientes asiáticos (n=523) do que em pacientes não asiáticos (n=691).
O potencial de prolongamento do intervalo QT de crizotinibe foi avaliado em pacientes positivos para ALK que receberam 250 mg de crizotinibe duas vezes ao dia. Eletrocardiogramas (ECG) triplicados em série foram coletados após uma única dose e em estado de equilíbrio para avaliar o efeito do crizotinibe nos intervalos QT.
Trinta e dois dos 1566 pacientes (2,0%) com pelo menos 1 avaliação de ECG pós momento basal apresentaram QTcF (QT corrigido pelo método Fridericia) ? 500 msec e 77 de 1532 pacientes (5,0%) com uma avaliação no momento basal e pelo menos 1 avaliação de ECG pós momento basal tiveram um aumento de QTcF da linha de base ?60 msec por avaliação lida por máquina automatizada de ECG.
Um subestudo de ECG, utilizando medições manuais cegas de ECG, foi realizado em 52 pacientes com CPNPC positivo para ALK que receberam crizotinibe 250 mg duas vezes por dia.
Análise da tendência central indicou que um efeito QTc ?20 ms pode ser excluído. Análise farmacocinética/farmacodinâmica sugeriu uma relação entre a concentração plasmática de crizotinibe e QTc. Além disso, a diminuição da frequência cardíaca foi considerada associada ao aumento nas concentrações plasmáticas de crizotinibe.
O crizotinibe não foi mutagênico in vitro no ensaio de mutação bacteriana reversa (Ames). O crizotinibe foi aneugênico em um ensaio de micronúcleo in vitro em células Ovarianas de Hamsters Chineses e em ensaio de aberração cromossômica de linfócito humano in vitro. Pequenos aumentos de aberrações cromossômicas estruturais em concentrações citotóxicas foram vistas nos linfócitos humanos.
Na medula óssea de rato in vivo, aumentos no micronúcleo foram apenas vistos em doses significativamente excedentes à exposição humana esperada. Aumentos no micronúcleo foram observados nos ratos a 250 mg/kg/dia (aproximadamente 4 vezes a AUC na dose recomendada para humanos).
Estudos de carcinogenicidade com crizotinibe não foram realizados.
Estudos não específicos com crizotinibe foram realizados em animais para avaliar o efeito na fertilidade; contudo, o crizotinibe é considerado como tendo o potencial de prejudicar a função reprodutora e a fertilidade em humanos baseado em descobertas nos estudos de toxidade de dose repetida no rato.
Descobertas observadas no trato reprodutivo masculino incluiu a degeneração de espermatócitos no paquíteno testicular em ratos que receberam ? 50 mg/kg/dia durante 28 dias (aproximadamente equivalente à exposição clínica humana baseada em AUC).
Descobertas observadas no trato reprodutivo feminino incluiu a necrose unicelular dos folículos ovarianos de uma rata que recebeu 500 mg/kg/dia durante 3 dias.
Xalkori deve ser conservado em temperatura ambiente (entre 15 e 30°C).
Número de lote e datas de fabricação e validade: vide embalagem.
Não use medicamento com o prazo de validade vencido. Guarde-o em sua embalagem original.
Cápsula de gelatina dura tamanho 1, branco opaco/rosa opaco, contendo um pó branco a amarelo pálido.
Cápsula de gelatina dura tamanho 0, rosa opaco/rosa opaco, contendo um pó branco a amarelo pálido.
Impressão (logotipo):
Antes de usar, observe o aspecto do medicamento. Caso ele esteja no prazo de validade e você observe alguma mudança no aspecto, consulte o farmacêutico para saber se poderá utilizá-lo.
Todo medicamento deve ser mantido fora do alcance das crianças.
Venda sob prescrição médica.
MS - 1.0216.0241
Farmacêutico Responsável: Carolina C. S. Rizoli - CRF-SP Nº 27071
Registrado e Importado por:
Laboratórios Pfizer Ltda.
Rodovia Presidente Castelo Branco, Km 32,5
CEP 06696-000 – Itapevi – SP
CNPJ nº 46.070.868/0036-99
Fabricado e Embalado por:
Pfizer Manufacturing Deutschland GmbH – Betriebsstätte Freiburg
Freiburg - Alemanha
Comparar preços de remédios e medicamentos no CliqueFarma é rápido e simples.
O CliqueFarma, é uma ferramenta para comparativo de preços de produtos farmacêuticos. Não comercializamos, não indicamos, não receitamos, nenhum tipo de medicamento essa função cabe exclusivamente a médicos e farmacêuticos. Não consuma qualquer tipo de medicamento sem consultar seu médico.SE PERSISTIREM OS SINTOMAS, O MÉDICO DEVERÁ SER CONSULTADO. PROCURE UM MÉDICO E O FARMACÊUTICO. LEIA A BULA.
Ainda com dúvidas?Conheça nossos Termos de Uso